Polynomials

NCERT Revision Notes for Chapter 2 Polynomials Class 9 Maths

CBSE NCERT Revision Notes

1

Polynomial

Answer

An algebraic expression in which the exponents of the variables are non-negative integers are called polynomials.
For example, 3x4 + 2x3 + x + 9, 3x4 etc are polynomials.

Constant polynomial: A constant polynomial is of the form p(x) = k, where k is a

real number. For example, –9, 10, 0 are constant polynomials.

Zero polynomial: A constant polynomial ‘0’ is called zero polynomial.

2

General form of a polynomial

Answer

A polynomial of the form where are p(x) = anxn + an-1xn-1 + .... + a1x + a0x where a0, a1... ar, are constant and an≠ 0.

Here, a0, a1... an are the respective coefficients of x0,x1, x2 ... xn and n is the power of

the variable x.

anxn + an-1xn-1 - a0 and are called the terms of p(x).

3

Classification of polynomials on the basis of number of terms

Answer

• A polynomial having one term is called a monomial. e.g. 3x, 25t3 etc.

• A polynomial having one term is called a monomial. e.g. 2t-6, 3x4 +2x etc.

• A polynomial having one term is called a monomial. e.g. 3x4 + 8x + 7 etc.

4

Degree of a Polynomial

Answer

• The degree of a polynomial is the highest exponent of the variable of the polynomial.

For example, the degree of polynomial 3x4 + 2x3 + x + 9 is 4.

• The degree of a term of a polynomial is the value of the exponent of the term.


Classification of polynomial according to their degrees 

• A polynomial of degree one is called a linear polynomial e.g. 3x+2, 4x, x+9.

• A polynomial of degree is called a quadratic polynomial. e.g. x2+ 9, 3x2 + 4x + 6

• A polynomial of degree three is called a cubic polynomial e.g. 10x3+ 3, 9x3

Note: The degree of a non-zero constant polynomial is zero and the degree of a zero polynomial is not defined.

5

Values of polynomials at different points

Answer

A polynomial is made up of constants and variables. Hence, the value of the polynomial changes as the value of the variable in the polynomial changes. Thus, for the different values of the variable x, we get different values of the polynomial.

6

Zeroes of a polynomial

Answer

• A real number a is said to be the zero of polynomial p(x) if p(a) = 0, In this case, a is also called the root of the equation p(x) = 0.

Note:

• The maximum number of roots of a polynomial is less than or equal to the degree of the polynomial.

• A non-zero constant polynomial has no zeroes.

• A polynomial can have more than one zero.

7

Division of a polynomial by a monomial using long division method

Answer

Example: Divide x4 -2x3- 2x2+7x-15 by x-2

8

Identity: (x + y + z)2 = x2 + y2 + z2 + 2xy + 2yz + 2zx

Answer

9

Identities: (x + y)3 = x3 + y3 + 3xy(x+y) and (x - y)3 = x3 - y3 - 3xy(x-y)

Answer

Other ways to represent these identities are:

x3+ y3 = (x+y)3 - 3xy(x+y)

x3+ y3 = (x+y)(x2-xy+y2)

x3- y3 = (x-y)3 + 3xy(x-y)

x3- y3 = (x-y)(x2+xy+y2)

 

Example: Expand (3x+2y)3 - (3x-2y)3

 

10

Remainder Theorem

Answer

If p(x) is a polynomial of degree greater than or equal to one and a is any real number then if p(x) is divided by the linear polynomial x-a, the remainder is p(a).


Example: 

Find the remainder when x5 -x2 +5 is divided by x-2.

Solution: 

p(x) = x5 -x2 +5

The zero of x-2 is 2.

p(2) = 25 -22 +5 = 32-4+5 = 33

Therefore, by remainder theorem, the remainder is 33.

11

Factor Theorem

Answer

If p(x) is a polynomial of degree n≥1 and a is any real number, then

x-a is a factor of p(x), if p(a)=0. 

p(a) = 0, if (x-a) is a factor of p(x). 

 

Example: 

Determine whether x +3 is a factor of x3+5x2+5x-3.

Solution 

The zero of x+3 is -3.

Let p(x) = x3+5x2+5x-3

p(-3) = (3)3+5(-3)2 + 5(-3)-3

= -27+45-15-3

= -45 + 45

= 0

Therefore, by factor theorem, x + 3 is the factor of p(x).

Factorisation of quadratic polynomials of the form ax2+bx+c can be done using Factor

theorem and splitting the middle term.

12

Factorize x2 – 7x + 10 using the factor theorem.

Answer

Let p(x) = x2– 7x + 10 

The constant term is 0 and its factors are ±1, ±2, ±5 and ±1O. 

Let us check the value of the polynomial for each of these factors of 10. 

p(1) = 12– 7×1 + 10 = 1-7+10 = 4 ≠ 0

Hence, x-1 is not a factor of p(x), 

p(2) = 22– 7×2 + 10 = 4-14+10 = 0

Hence, x -2 is a factor of p(x). 

p(5) = 52- 7×5 +10 = 25-35+10 = 0

Hence, x -5 is a factor of p(x). 

We know that a quadratic polynomial can have a maximum of two factors. We have obtained the two factors of the given polynomial, which are x-2 and x-5. 

Thus, we can write the given polynomial as:

Let p(x) = x2– 7x + 10 = (x-2) (x-5)

13

Factorize 2x2 – 11x + 15 by splitting the middle term.

Answer

The given polynomial is 2x2– 11x + 15

Here, a = 2×15 = 30. The middle term is -11. Therefore, we have split -11 into two numbers such that their product is 30 and their sum is -11. These numbers are -5 and -6 [As (-5)+ (-6) = -11 and -5 × -6 = 30]

Thus, we have: 

2x2– 11x + 15 = 2x2– 5x - 6x + 15 

= x(2x- 5) -3 (2x- 5)

= (x-3) (2x-5)


Note: A quadratic polynomial can have a maximum of two factors. 


• Factorisation of cubic polynomials of the form ax3+ bx2+ cx can be done using factor 

theorem and hit and trial method.


A cubic polynomial can have a maximum of three linear factors. So, by knowing one of these  factors, we can reduce it to a quadratic polynomial. 

Thus, to factorize a cubic polynomial, we first find a factor by the hit and trial method or by using the factor theorem, and then reduce the cubic polynomial into a quadratic polynomial and it is then solved further. 

14

Factorise p(x) = x3 – 7x + 6

Answer

The constant term is 6.

The factors of 6 are ±1, ±2, ±3 and ±6.

Let x = 1

From equation (1), we get

p(x) = (x – 1) (x – 2) (x + 3)

Hence, factors of polynomial p(x) are (x – 1), (x – 2) and (x + 3).

15

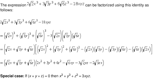
Identity: x3 + y3 + z3 – 3xyz = (x + y + z)(x2 + y2 + z2 – xy – yz – zx)

Answer