Number System

NCERT Revision Notes for Chapter 1 Number System Class 9 Maths

CBSE NCERT Revision Notes

1

Number System

Answer

Real Numbers: The numbers which exist are known as rational numbers. All real numbers can be represented on Number line.  Every real number is represented by a unique point on the number line. Also, every point on the number line represents a unique real number. 

Types of Real Numbers

Rational Numbers: The numbers in the form of p/q where p and q integers and q≠0 are known as rational numbers. Examples: -2/3, 4/5, -7, 3/2

Irrational Numbers: Real Numbers which cannot be expressed as ratio of two integers.  

2

Equivalent Rational Number

Answer

All whole numbers, natural numbers, integers are rational numbers. 

Equivalent Rational Numbers: A rational number cannot have unique representation as p/q where p and q are integers and q≠0.  

For example 1/2 can also be written as 

Rational number in simplest form is represented in the form of p/q where p and q integers and q≠0 are known as rational numbers and p and q are co-prime numbers. 

1/2 is simplest form of 2/4,4/8 as 1 and 2 are co-prime numbers. 

Other example  3/4=6/10=9/12 is set of equivalent rational numbers. In ¾ , 3 and 4 are co-prime Numbers. ¾ is rational number in simplest form.

3

Finding a rational Number between Two Rational Numbers.

Answer

To find a rational number between two rational numbers a and b 

Find d = (a+b)/2 

d is the rational number between two rational numbers. 


Q1. Find a rational number between 3/5 and 4/5. 

Solution d=(3/5+4/5)/2 = (7/5)/2 = 7/10

4

Finding n rational numbers between Two Rational Numbers. 

Answer

Find d = (b-a)/(n+1)

Then the n numbers between a and b are a+d, a+2d,….a+(n-1)d, a+nd.

Find all these values.

Q. Find 4 rational numbers between 5 and 5 1/2.

We have to find 4 rational numbers between 5 and 51/2  i.e between 5 and 11/2.

Here, n=4 as we have to find 4 rational numbers between a=5 and b=11/2

Find d = (b-a)/(n+1)

Here,

d=(11/2-5)/(4+1)=1/10

So, the four rational numbers are

a+d=5+1/10=51/10

a+2d=52/10

a+3d=53/10

a+4d=54/10

Therefore, the required 4 numbers are  51/10, 52/10, 53/10, 54/10.

In simpler form: 51/10, 26/5, 53/10, 27/5

5

Locating Irrational Numbers on Number Line

Answer

Any real number is called irrational, if it cannot be written in the form p/q, where p and q are integers and q ≠ 0. 

Example π, √2,√3

Locating Irrational Numbers on Number Line. 

1. Locating √2 in Number Line. 

(i) On Number line, marks point O which is 0, and 1 is marked as A.

(ii) Now a construction is done AB perpendicular to OA, that is number line. AB is equal to OA. Both equal to 1 unit. Since, OA represent 1 on number line.

(iii) Point O is joined by Point B. So, we have right angled triangle, OAB, right angled at A. 

(iv) By applying Pythagoras theorem, we get

2. Locate √3 on Number Line

The process is similar to previous case. We have to take base as OP=√2, and from C draw a line perpendicular CD equal to one Unit. By Pythagoras Theorem, we get OD= √3,

Note: In similar way we can fine √n on number line if √(n-1).

6

Decimal Expansion of Real Numbers:

Answer

Decimal expansion of any number can be obtained by performing Long division by dividing numerator by denominator. 

Example:- Decimal Expansion of 2/3 =0.66666……. (6 repeating)

Terminating Decimal Expansion: The decimal expansion terminates or ends after a finite number of steps.

9/8=1.125

Recurring Decimal Expansion: The decimal Expansion do not terminates but a pattern of digits repeats in the decimal expansion.

Examples:

2/3=0.666……

1/7=0.142857142857142857 here 142857 is repeated. 

Representing Recurring Decimal Expansion: It Can be represented by putting bar over repeating terms. 

Non-Terminating Non-recurring Decimal Expansion: The decimal expansion, neither repeats, not terminates. 

Example π=3.14596…. 

√2=1.414….

2.3030030003…

Note: Rational numbers will have either terminating or Non-terminating recurring decimal expansion. Irrational numbers will always have non-terminating and non-recurring decimal expansion. 

7

Converting Terminating Decimal Number into p/q form

Answer

8

Representing Recurring Decimal Expansion

Answer

Steps:

1. Expand 4 -5 area on number line.

2. Divide it in 10 parts. Each part is 4.1, 4.2, 4.3, 4.4,4,5,4.6, 4.7.4.8, 4.9

3. Now divide 4.2 to 4.3 part in 10 parts.  Each part will be 4. 21, 4,22, 4.23, 4.24. 4.25. 4.26, 4.27, 4.28, 4.29….

4. Again magnifying and dividing 4.261, 4.262, 4.263, 4.264, 4.26,4.27, 4.28. 4.29..

5. 26 to 4.27 is divided into 10 parts. We will get 4.26, the point is 4.262626…so, it is just more than 4.2626..

9

Representing √x Geomatrically

Answer

 
On a Line we draw AB= x
Extend AB to C. Such that BC=1. AC=x+1
Take mid-point of AB as O. With OC as arc draw a semi circle.
Draw BD perpendicular to AC. BD represents √x . Why this so, you will understand if you go through the proof.
Proof: 
OD = OC = (x+1)/2 Radius of Same Arc
From diagram:-

10

Finding Irrational Numbers between two rational numbers. 

Answer

Steps:

1. First write rational numbers in decimal form. 

2. Write three such decimal numbers between thoese decimal numbers which are having non-terminating and non-repeating decimal expnansion. 

Q. Find three Irrational Numbers between 3/5 and 4/5. 

3/5 = 0.6

4/5 =0.8

The three irrational numbers between 0.6 and 0.8 can be

0.61611611161111611111.....

0.67677677767777677777.........

0.707007000700007000007......

11

Rationalisation 

Answer

It is the Process of making denominator rational number if it is irrational. It is multiplied by same number in denominator and neumerator.

 

12

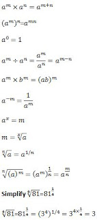
Laws of Exponent 

Answer