NCERT Revision Notes for Chapter 7 Coordinate Geometry Class 10 Maths
CBSE NCERT Revision Notes1
Answer
On a Cartesian Plane also known as XY plane, there are two Axises. The vertical Axis is known as Y Axis given as YOY’. The Horizontal Axis is known as XOX’. Here O is the Origin. OY is positive Y axis and OY’ is negative Y axis. OX is positive X axis and OX’ is negative X-axis. It is the intersection point of both X and Y axis. It represents 0 on both axis.

2
Answer
The distance between the points P (x1Â , y1Â ) and Q (x2Â , y2Â ) on a Cartesian Plane is given byÂ
Â
Example: Distance between two points P (-5, 3) and Q(-1, 6) is given as
Â
3
Answer
A point P(x, y) divides line segment AB, where coordinate of point A is A(x1Â , y1) and Coordinate of point B(x2Â , y2) in ratio m:n, then point P(x, y) isÂ
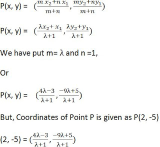
ExampleÂ
In what ratio does the point (2,- 5) divide the line segment joining the points A(-3, 5)Â and B(4, -9).Â
Solution: Let the ratio be λ : 1
Â
The required ratio is 5:2.Â
Note:- You can check for Y-coordinate also. Result will be same.Â
4
Answer
The mid-point of the line joining A(x1Â , y1Â ) and B(x2Â , y2Â ) is given asÂ
5
Answer
The Centroid of the triangle is the point of intersection of medians of the triangle. For a triangle A(x1 , y1), B(x2 , y2) and C(x3 , y3) we can say that the co-ordinates of centroid is given asÂ
6
Answer
7
Answer