Chemical Reactions and Equations

NCERT Revision Notes for Chapter 1 Chemical Reactions and Equations Class 10 Science

CBSE NCERT Revision Notes

1

Introduction

Answer

→ Most of the substance around us undergoes various changes. Some of these changes are temporary with no new substance being formed. They are called physical changes.

→ In certain other changes the new substance formed in which the reactant or the parent loses its identity to form new substance called product. These changes are permanent changes as we won’t get the reactant back.

2

Chemical Reaction

Answer

→ Chemical reaction is the process by which two or more substance react with each other to form new substance with different properties.

→ These are the following changes to determine that the chemical reaction has taken place:

(i) Change in state

(ii) Change in colour

(iii) Evolution of gas

(iv) Change in temperature

3

Chemical Equation

Answer

→ A chemical equation is the symbolic representation of a chemical reaction in the form of symbols and formulae, wherein the reactant entities are given on the left-hand side and the product entities on the right-hand side.
Magnesium + oxygen → magnesium oxide

(Reactant) → (Product)

4

Balanced chemical equation

Answer

→ The chemical equation that shows the chemical reaction needs to be balanced. A balanced chemical equation occurs when the number of the atoms involved in the reactants side is equal to the number of atoms in the products side.

Zn + H2SO4  →  ZnSO4  + H2

3Fe (s) + 4H2O (g) →  Fe3O4  (s) + 4H2 (g)

5

Types of chemical reaction

Answer

→ Combination reaction: Such a reaction in which a single product is formed from two or more reactants is known as a combination reaction.

CaO (s) + H2O (l) → Ca(OH)2 (aq)

Calcium oxide reacts vigorously with water to produce slaked lime (calcium hydroxide) releasing a large amount of heat.

A solution of slaked lime produced by the reaction is used for white washing walls. Calcium hydroxide reacts slowly with the carbon dioxide in air to form a thin layer of calcium carbonate on the walls. Calcium carbonate is formed after two to three days of white washing and gives a shiny finish to the walls. It is interesting to note that the chemical formula for marble is also CaCO3.

Ca(OH)2 (aq) + CO2 (g)   →   CaCO3 (s) + H2O (l)

 (slaked lime) → (calcium carbonate)

Burning of coal: C (s) + O2 (g) → CO2 (aq)

Formation of water: H2 (g) + O2 (g) →  H2O (aq)

Burning of natural gas (Methane): CH4 (g) + O2 (g) →  CO2 (g) + H2O (l)

→ Exothermic reaction: An exothermic process releases heat, and causes the temperature of the immediate surroundings to rise The rice, potatoes and bread we eat contain carbohydrates. These carbohydrates are broken down to form glucose. This glucose combines with oxygen in the cells of our body and provides energy. The special name of this reaction is respiration is an exothermic reaction.

C6H12O6 (aq) + 6O2 (aq) →  6CO2 + 6H2O (l) + energy

  (glucose)

→ Endothermic reaction: An endothermic process absorbs heat and cools the surroundings.

The decomposition of vegetable matter into compost is also an example of an endothermic reaction.

→ Decomposition reaction: When single reactant breaks down to give simpler products. This is a decomposition reaction.

 

White silver chloride turns grey in sunlight. This is due to the decomposition of silver chloride into silver and chlorine by light.

 

The above reactions are used in black and white photography.

→ Displacement reaction: Displacement reaction is a chemical reaction in which a more reactive element displaces a less reactive element from its compound. Both metals and non-metals take part in displacement reactions. Reaction of iron nails with copper sulphate solution.

Fe (s) + CuSO4 (aq) →  FeSO4 (g) + Cu (s)

Pb (s) + CuCl2 (aq) →  PbCl2 (aq) + Cu (s)

→ Double Displacement reaction: A double displacement reaction, also known as a double replacement reaction or metathesis, is a type of chemical reaction where two compounds react, and the positive ions (cation) and the negative ions (anion) of the two reactants switch places, forming two new compounds or products.

Na2(SO)4 (aq) + BaCl2 (aq) →  BaSO4 (s) + NaCl (aq)

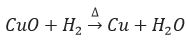
→ Redox reaction: An oxidation-reduction (Redox) reaction is a type of chemical reaction that involves a transfer of electrons between two species. An oxidation-reduction reaction is any chemical reaction in which the oxidation number of a molecule, atom, or ion changes by gaining or losing an electron.

Oxidation: This process involves gain of oxygen or loss of hydrogen.

Reduction: This process involves gain of hydrogen or loss of oxygen.

 

→ Oxidizing Agent: It is the substance which gives oxygen or gains hydrogen. Or, it the substance which is reduced itself and oxidizes other.

→ Reducing Agent: It is the substance which gives hydrogen or gains oxygen. Or, it the substance which is oxidized itself and reduces other.

'Oxidation' is the process which involves loss of electrons but reduction is the process which involves gain of electrons.

6

Corrosion

Answer

The process of slow conversion of metals into their undesirable compounds due to their reaction with oxygen, water, acids, gases etc. present in the atmosphere is called corrosion.

Rusting – Iron when reacts with oxygen and moisture forms red substance called rust.

7

Rancidity

Answer

→ The taste and odour of food materials containing fat and oil changes when they are left exposed to air for long time. This is called rancidity. It is caused due to oxidation of fat and oil present in food material.

→ It can be prevented by using various methods such as by adding antioxidants to the food materials,

Storing food in air tight container and by flushing out air with nitrogen.