NCERT Solutions for Chapter 5 Arithmetic Progressions Class 10 Maths
Book Solutions1
In which of the following situations, does the list of numbers involved make as arithmetic progression and why?
(i) The taxi fare after each km when the fare is Rs 15 for the first km and Rs 8 for each additional km.
(ii) The amount of air present in a cylinder when a vacuum pump removes 1/4Â of the air remaining in the cylinder at a time.
(iii) The cost of digging a well after every metre of digging, when it costs Rs 150 for the first metre and rises by Rs 50 for each subsequent metre.
(iv) The amount of money in the account every year, when Rs 10000 is deposited at compound interest at 8% per annum.
Answer
(i) It can be observed that
Taxi fare for 1st km = 15
Taxi fare for first 2 km = 15 + 8 = 23
Taxi fare for first 3 km = 23 + 8 = 31
Taxi fare for first 4 km = 31 + 8 = 39
Clearly 15, 23, 31, 39 … forms an A.P. because every term is 8 more than the preceding term.
Therefore, volumes will be V, 3V/4 , (3V/4)2 , (3V/4)3...
Clearly, it can be observed that the adjacent terms of this series do not have the same difference between them. Therefore, this is not an A.P.
Cost of digging for first 2 metres = 150 + 50 = 200
Cost of digging for first 3 metres = 200 + 50 = 250
Cost of digging for first 4 metres =Â 250 + 50 = 300
Clearly, 150, 200, 250, 300 … forms an A.P. because every term is 50 more than the preceding term.
2
(i) a = 10, d = 10
(ii) a = -2, d = 0
(iii) a = 4, d = - 3
(iv) a = -1 d = 1/2
(v) a = - 1.25, d = - 0.25
Answer
(i) ∵ Tn = a + (n - 1) d
∴ For a = 10 and d = 10, we have:
T1 = 10 + (1 - 1) × 10 = 10 + 0 = 10
T2 = 10 + (2 - 1) × 10 = 10 + 10 = 20
T3 = 10 + (3 - 1) × 10 = 10 + 20 = 30
T4 = 10 + (4 - 1) × 10 = 10 + 30 = 40
Thus, the first four terms of A.P. are:
10, 20, 30, 40.
(ii) ∵ Tn = a + (n - 1) d
∴ For a = - 2 and d = 0, we have:
T1 = -2 + (1 - 1) × 0 = -2 + 0 = -2
T2 = -2 + (2 - 1) × 0 = -2 + 0 = -2
T3 = -2 + (3 - 1) × 0 = -2 + 0 = -2
T4 = -2 + (4 - 1) × 0 = -2 + 0 = -2
∴ The first four terms are:
- 2, - 2, - 2, - 2.
(iii) ∵ Tn = a + (n - 1) d
∴ For a = 4 and d = - 3, we have:
T1 = 4 + (1 - 1) × (- 3) = 4 + 0 = 4
T2 = 4 + (2 - 1) × (- 3) = 4 + (- 3) = 1
T3 = 4 + (3 - 1) × (- 3) = 4 + (- 6) = - 2
T4 = 4 + (4 - 1) × (- 3) = 4 + (- 9) = - 5
Thus, the first four terms are:
4, 1, - 2, - 5.
(iv) ∵ Tn = a + (n - 1) d
For a = - 1 and d = 1/2, we get
 = −1+(1−1)× 1/2 = −1+0 = −1
 = −1+(2−1)× 1/2 = −1+ ½ = -1/2
 = −1+(3−1)× 1/2 = −1+1 = 0
 = −1+(4−1)× 1/2 = −1+ 3/2 = ½
∴ The first four terms are:
−1 , -1/2 , 0, ½
Â
(v) ∵ Tn = a + (n - 1) d
For a = - 1.25 and d = - 0.25, we get
T1 = - 1.25 + (1 - 1) × (- 0.25) = - 1.25 + 0 = - 1.25
T2 = - 1.25 + (2 - 1) × (- 0.25) = - 1.25 + (- 0.25) = - 1.50
T3 = - 1.25 + (3 - 1) × (- 0.25) = - 1.25 + (- 0.50) = - 1.75
T4 = - 1.25 + (4 - 1) × (- 0.25) = - 1.25 + (- 0.75) = - 2.0
Thus, the four terms are:
- 1.25, - 1.50, - 1.75, - 2.0
3
(i) 3, 1, - 1, - 3 …
(ii) -5, - 1, 3, 7 …
(iii) 1/3, 5/3, 9/3, 13/3 ....
Answer
(i) 3, 1, - 1, - 3 …
Here, first term, a = 3
Common difference, d = Second term - First term
= 1 - 3 = - 2
(ii) - 5, - 1, 3, 7 …
Here, first term, a = - 5
Common difference, d = Second term - First term
= ( - 1) - ( - 5) = - 1 + 5 = 4
Here, first term, a = 1/3
(iv) 0.6, 1.7, 2.8, 3.9 …
Here, first term, a = 0.6
Common difference, d = Second term - First term
= 1.7 - 0.6
= 1.1
4
Answer
Here,
a2Â -Â a1Â = 4 - 2 = 2
a3Â -Â a2Â = 8 - 4 = 4
a4Â -Â a3Â = 16 - 8 = 8
⇒ an+1 - an is not the same every time.
(ii) 2, 5/2, 3, 7/2 ....
Here,
a3Â -Â a2Â =Â 3 - 5/2 = 1/2
a4Â -Â a3Â =Â 7/2 - 3 = 1/2
⇒ an+1 - an is same every time.
Therefore, d = 1/2 and the given numbers are in A.P.
Three more terms are
a5Â = 7/2Â + 1/2 = 4
a6Â = 4Â + 1/2 = 9/2
a7Â = 9/2Â + 1/2 = 5
(iii) -1.2, - 3.2, -5.2, -7.2 …
Here,
a2Â -Â a1Â = ( -3.2) - ( -1.2) = -2
a3Â -Â a2Â = ( -5.2) - ( -3.2) = -2
a4Â -Â a3Â = ( -7.2) - ( -5.2) = -2
⇒ an+1 - an is same every time.
Therefore, d = -2 and the given numbers are in A.P.
Three more terms are
a5Â = - 7.2 - 2 = - 9.2
a6Â = - 9.2 - 2 = - 11.2
a7Â = - 11.2 - 2 = - 13.2
(iv) -10, - 6, - 2, 2 …
Here,
a2Â -Â a1Â = (-6) - (-10) = 4
a3Â -Â a2Â = (-2) - (-6) = 4
a4Â -Â a3Â = (2) - (-2) = 4
⇒ an+1 - an is same every time.
Therefore, d = 4 and the given numbers are in A.P.
Three more terms are
a5Â = 2 + 4 = 6
a6Â = 6 + 4 = 10
a7Â = 10 + 4 = 14
(v) 3, 3 + √2, 3 + 2√2, 3 + 3√2
Here,
a2 - a1 = 3 + √2 - 3 = √2
a3 - a2 = (3 + 2√2) - (3 + √2) = √2
a4 - a3 = (3 + 3√2) - (3 + 2√2) = √2
⇒ an+1 - an is same every time.
Therefore, d = √2 and the given numbers are in A.P.
Three more terms are
a5 = (3 + √2) + √2 = 3 + 4√2
a6 = (3 + 4√2) + √2 = 3 + 5√2
a7 = (3 + 5√2) + √2 = 3 + 6√2
(vi) 0.2, 0.22, 0.222, 0.2222 ….
Here,
a2Â -Â a1Â =Â 0.22 - 0.2 = 0.02
a3Â -Â a2Â =Â 0.222 - 0.22 = 0.002
a4Â -Â a3Â =Â 0.2222 - 0.222 = 0.0002
⇒ an+1 - an is not the same every time.
(vii) 0, -4, -8, -12 …
Here,
a2Â -Â a1Â =Â (-4) - 0 = -4
a3Â -Â a2Â =Â (-8) - (-4) = -4
a4Â -Â a3Â =Â (-12) - (-8) = -4
⇒ an+1 - an is same every time.
Therefore, d = -4 and the given numbers are in A.P.
Three more terms are
a5Â =Â -12 - 4 = -16
a6Â =Â -16 - 4 = -20
a7Â =Â -20 - 4 = -24
(viii) -1/2, -1/2, -1/2, -1/2 ....
Here,
a2Â -Â a1Â = (-1/2) - (-1/2) = 0
a3Â -Â a2Â = (-1/2) - (-1/2) = 0
a4Â -Â a3Â = (-1/2) - (-1/2) = 0
⇒ an+1 - an is same every time.
Therefore, d = 0 and the given numbers are in A.P.
Three more terms are
a5Â = (-1/2) - 0 = -1/2
a6Â =Â (-1/2) - 0 = -1/2
a7Â =Â (-1/2) - 0 = -1/2
(ix) 1, 3, 9, 27 …
Here,
a2Â -Â a1Â =Â 3 - 1 = 2
a3Â -Â a2Â =Â 9 - 3 = 6
a4Â -Â a3Â =Â 27 - 9 = 18
⇒ an+1 - an is not the same every time.
(x) a, 2a, 3a, 4a …
Here,
a2 - a1 = 2a - a = a
a3 - a2 = 3a - 2a = a
a4 - a3 = 4a - 3a = a
⇒ an+1 - an is same every time.
Therefore, d = a and the given numbers are in A.P.
Three more terms are
a5 = 4a + a = 5a
a6 = 5a + a = 6a
a7 = 6a + a = 7a
(xi) a, a2, a3, a4 …
Here,
a2 - a1 = a2 - a = (a - 1)
a3 - a2 = a3 - a2 = a2 (a - 1)
a4 - a3 = a4 - a3 = a3(a - 1)
⇒ an+1 - an is not the same every time.
(xii) √2, √8, √18, √32 ...
Here,
a2 - a1 = √8 - √2  = 2√2 - √2 = √2
a3 - a2 = √18 - √8 = 3√2 - 2√2 = √2
a4 - a3 = 4√2 - 3√2 = √2
⇒ an+1 - an is same every time.
Therefore, d = √2 and the given numbers are in A.P.
Three more terms are
a5 = √32  + √2 = 4√2 + √2 = 5√2 = √50
a6 = 5√2 +√2 = 6√2 = √72
a7 = 6√2 + √2 = 7√2 = √98
(xiii) √3, √6, √9, √12 ...
Here,
a2 - a1 = √6 - √3 = √3 × 2 -√3 = √3(√2 - 1)
a3 - a2 = √9 - √6 = 3 - √6 = √3(√3 - √2)
a4 - a3 = √12 - √9 = 2√3 - √3 × 3 = √3(2 - √3)
⇒ an+1 - an is not the same every time.
(xiv) 12, 32, 52, 72 …
Here,
a2 − a1 = 9 − 1 = 8
a3 − a2 = 25 − 9 = 16
a4 − a3 = 49 − 25 = 24
⇒ an+1 - an is not the same every time.
(xv) 12, 52, 72, 73 …Â
Or 1, 25, 49, 73 …
Here,
a2 − a1 = 25 − 1 = 24
a3 − a2 = 49 − 25 = 24
a4 − a3 = 73 − 49 = 24
i.e., ak+1 − ak is same every time.
⇒ an+1 - an
1
Fill in the blanks in the following table, given that a is the first term, d the common difference and an the nth term of the A.P.
| Â |
a |
d |
n |
an |
|
(i) |
7 |
3 |
8 |
…... |
|
(ii) |
− 18 |
….. |
10 |
0 |
|
(iii) |
….. |
− 3 |
18 |
− 5 |
|
(iv) |
− 18.9 |
2.5 |
….. |
3.6 |
|
(v) |
3.5 |
0 |
105 |
….. |
Answer
(i) a = 7, d = 3, n = 8, an = ?We know that,
For an A.P. an = a + (n − 1) d
= 7 + (8 − 1) 3
= 7 + (7) 3
= 7 + 21 = 28
Hence, an = 28
(ii) Given that
a = −18, n = 10, an = 0, d = ?
We know that,
an = a + (n − 1) d
⇒ 0 = − 18 + (10 − 1) d
⇒ 18 = 9d
⇒ d = 18/9 = 2
Hence, common difference, d = 2
(iii) Given that
d = −3, n = 18, an = −5
We know that,
an = a + (n − 1) d
−5 = a + (18 − 1) (−3)
⇒ −5 = a + (17) (−3)
⇒ −5 = a − 51
⇒ a = 51 − 5 = 46
Hence, a = 46
(iv) a = −18.9, d = 2.5, an = 3.6, n = ?
We know that,
an = a + (n − 1) d
3.6 = − 18.9 + (n − 1) 2.5
⇒ 3.6 + 18.9 = (n − 1) 2.5
⇒ 22.5 = (n − 1) 2.5
⇒ (n - 1) = 22.5/2.5
⇒ n - 1 = 9
⇒ n = 10
Hence, n = 10
(v) a = 3.5, d = 0, n = 105, an = ?
We know that,
an = a + (n − 1) d
an = 3.5 + (105 − 1) 0
⇒ an = 3.5 + 104 × 0
⇒ an = 3.5
Hence, an = 3.5
2
Choose the correct choice in the following and justify
(i) 30th term of the A.P: 10, 7, 4, …, is
(A)Â 97
(B)Â 77
(C) −77
(D) −87
(ii) 11th term of the A.P. -3, -1/2, ,2 .... isÂ
(A) 28Â
(B) 22Â
(C) - 38
(D)
Answer
A.P. 10, 7, 4, …
First term, a = 10
Common difference, d = a2 − a1 = 7 − 10 = −3
We know that, an = a + (n − 1) d
a30 = 10 + (30 − 1) (−3)
⇒ a30 = 10 + (29) (−3)
⇒ a30 = 10 − 87 = −77
Hence, the correct answer is option C.
(ii) Given that A.P. is -3, -1/2, ,2 ...
First term a = - 3
= (-1/2)Â + 3 = 5/2
We know that, an = a + (n − 1) d
a11Â = 3Â + (11 -1)(5/2)
⇒ a11 = 3 + (10)(5/2)
⇒ a11 = -3 + 25
⇒ a11 = 22
Hence, the answer is option B.
3
In the following APs find the missing term in the boxes.Â
Answer
(i) For this A.P.,
a = 2
a3Â = 26
We know that, an = an + (n − 1) d
a3Â = 2 + (3 - 1) d
⇒ 26 = 2 + 2d
⇒ 24 = 2d
⇒ d = 12
a2Â = 2 + (2 - 1) 12Â = 14
Therefore, 14 is the missing term.
(ii) For this A.P.,
a2 = 13 and a4 = 3
We know that, an = a + (n − 1) d
a2Â = a + (2 - 1) d
⇒ 13 = a + d ...(1)
a4Â = a + (4 - 1) d
⇒ 3 = a + 3d ... (2)
On subtracting (1) from (2), we get
-10 = 2d
⇒ d = - 5
From equation (1), we get
13 = a + (-5)
⇒ a = 18
a3Â = 18 + (3 - 1) (-5)
⇒ 18 + 2(-5)
⇒ 18 - 10 = 8
Therefore, the missing terms are 18 and 8 respectively.
Â
(iii) For this A.P.,
a = 5 and a4 = 19/2
We know that, an= a + (n − 1) d
a4Â = a + (4 - 1) d
⇒ 19/2 = 5 + 3d
⇒ 19/2 - 5
⇒ 3d = 9/2
⇒ d = 3/2
a2Â = a + (2 - 1) d
⇒ a2 = 5 + 3/2
⇒ a2 = 13/2
Â
a3Â = a + (3 - 1) d
⇒ a3 = 5 + 2 × 3/2
⇒ a3 = 8
Therefore, the missing terms are 13/2 and 8 respectively.
Â
(iv) For this A.P.,
a = −4 and a6 = 6
We know that,
an = a + (n − 1) d
⇒ a6 = a + (6 − 1) d
⇒ 6 = − 4 + 5d
⇒ 10 = 5d
⇒ d = 2
a2 = a + d = − 4 + 2 = −2
a3 = a + 2d = − 4 + 2 (2) = 0
a4 = a + 3d = − 4 + 3 (2) = 2
a5 = a + 4d = − 4 + 4 (2) = 4
Therefore, the missing terms are −2, 0, 2, and 4 respectively.
(v) For this A.P.,
a2Â = 38
a6 = −22
We know that
an = a + (n − 1) d
a2 = a + (2 − 1) d
⇒ 38 = a + d ...(1)
a6 = a + (6 − 1) d
⇒ −22 = a + 5d ...(2)
On subtracting equation (1) from (2), we get
−22 − 38 = 4d
⇒ −60 = 4dÂ
⇒ d = −15
a = a2 − d = 38 − (−15) = 53
a3 = a + 2d = 53 + 2 (−15) = 23
a4 = a + 3d = 53 + 3 (−15) = 8
a5 = a + 4d = 53 + 4 (−15) = −7
Therefore, the missing terms are 53, 23, 8, and −7 respectively.
4
Answer
3, 8, 13, 18, …For this A.P.,
a = 3
d = a2 − a1 = 8 − 3 = 5
Let nth term of this A.P. be 78.
an = a + (n − 1) d
⇒ 78 = 3 + (n − 1) 5
⇒ 75 = (n − 1) 5
⇒ (n − 1) = 15
⇒ n = 16
Hence, 16th term of this A.P. is 78.
5
(i) 7, 13, 19, …, 205
(ii) 18,Â
Answer
(i) For this A.P.,
a = 7
d = a2 − a1 = 13 − 7 = 6
Let there are n terms in this A.P.
an = 205
We know that
an = a + (n − 1) dÂ
Therefore, 205 = 7 + (n − 1) 6
198 = (n − 1) 6
⇒ 33 = (n − 1)Â
⇒ n = 34
Therefore, this given series has 34 terms in it.
(ii) For this A.P.,
a = 18
Let there are n terms in this A.P.
an = 205
⇒ -65 = (n - 1)(-5/2)
⇒ (n - 1) = -130/-5
⇒ (n - 1) = 26
⇒ n = 27
Therefore, this given A.P. has 27 terms in it.
6
Answer
For this A.P.,a = 11
d = a2 − a1 = 8 − 11 = −3
Let −150 be the nth term of this A.P.
We know that,
an = a + (n − 1) d
⇒ -150 = 11 + (n - 1)(-3)
⇒ -150 = 11 - 3n + 3
⇒ -164 = -3n
⇒ n = 164/3
Clearly, n is not an integer.
Therefore, - 150 is not a term of this A.P.
7
Find the 31st term of an A.P. whose 11th term is 38 and the 16th term is 73.
Answer
Given that,
a11Â = 38
a16Â = 73
We know that,
an = a + (n − 1) d
a11 = a + (11 − 1) d
⇒ 38 = a + 10d ... (1)
Similarly,
a16 = a + (16 − 1) d
⇒ 73 = a + 15d ... (2)
On subtracting (1) from (2), we get
35 = 5d
⇒ d = 7
From equation (1),
38 = a + 10 × (7)
⇒ 38 − 70 = a
⇒ a = −32
a31 = a + (31 − 1) d
= − 32 + 30 (7)
= − 32 + 210
= 178
Hence, 31st term is 178.
8
Answer
Given that,
a3Â = 12
a50Â = 106
We know that,
an = a + (n − 1) d
a3 = a + (3 − 1) d
⇒ 12 = a + 2d ... (1)
Similarly,
a50 = a + (50 − 1) d
⇒ 106 = a + 49d ... (2)
On subtracting (1) from (2), we get
94 = 47d
⇒ d = 2
From equation (i), we get
12 = a + 2 (2)
a = 12 − 4 = 8
a29 = a + (29 − 1) d
a29Â = 8 + (28)2
a29Â = 8 + 56 = 64
Therefore, 29th term is 64.
9
Answer
a3Â = 4
a9 = −8
We know that,
an = a + (n − 1) d
a3 = a + (3 − 1) d
4 = a + 2d ... (i)
a9 = a + (9 − 1) d
−8 = a + 8d ... (ii)
On subtracting equation (i) from (ii), we get,
−12 = 6d
d = −2
From equation (i), we get,
4 = a + 2 (−2)
4 = a − 4
a = 8
Let nth term of this A.P. be zero.
an = a + (n − 1) d
0 = 8 + (n − 1) (−2)
0 = 8 − 2n + 2
2n = 10
n = 5
Hence, 5th term of this A.P. is 0.
10
If 17th term of an A.P. exceeds its 10th term by 7. Find the common difference.
Answer
We know that,
For an A.P., an = a + (n − 1) d
a17 = a + (17 − 1) d
a17 = a + 16d
Similarly, a10 = a + 9d
It is given that
a17 − a10 = 7
(a + 16d) − (a + 9d) = 7
7d = 7
d = 1
Therefore, the common difference is 1.
11
Which term of the A.P. 3, 15, 27, 39, … will be 132 more than its 54th term?
Answer
Given A.P. is 3, 15, 27, 39, …
a = 3
d = a2 − a1 = 15 − 3 = 12
a54 = a + (54 − 1) d
= 3 + (53) (12)
= 3 + 636 = 639
132 + 639 = 771
We have to find the term of this A.P. which is 771.
Let nth term be 771.
an = a + (n − 1) d
771 = 3 + (n − 1) 12
768 = (n − 1) 12
(n − 1) = 64
n = 65
Therefore, 65th term was 132 more than 54th term.
Or
Let nth term be 132 more than 54th term.
n = 54 + 132/2
= 54 + 11 = 65th term
12
Two APs have the same common difference. The difference between their 100th term is 100, what is the difference between their 1000th terms?
Answer
Let the first term of these A.P.s be a1 and a2 respectively and the common difference of these A.P.s be d.For first A.P.,
a100 = a1 + (100 − 1) d
=Â a1Â + 99d
a1000 = a1 + (1000 − 1) d
a1000Â =Â a1Â + 999d
For second A.P.,
a100 = a2 + (100 − 1) d
=Â a2Â + 99d
a1000 = a2 + (1000 − 1) d
=Â a2Â + 999d
Given that, difference betweenÂ
100th term of these A.P.s = 100
Therefore, (a1 + 99d) − (a2 + 99d) = 100
a1 − a2 = 100 ... (i)
Difference between 1000th terms of these A.P.s
(a1 + 999d) − (a2 + 999d) = a1 − a2
From equation (i),
This difference, a1 − a2 = 100
Hence, the difference between 1000th terms of these A.P. will be 100.
13
How many three digit numbers are divisible by 7?
Answer
First three-digit number that is divisible by 7 = 105
Next number = 105 + 7 = 112
Therefore, 105, 112, 119, …
All are three digit numbers which are divisible by 7 and thus, all these are terms of an A.P. having first term as 105 and common difference as 7.
The maximum possible three-digit number is 999. When we divide it by 7, the remainder will be 5. Clearly, 999 − 5 = 994 is the maximum possible three-digit number that is divisible by 7.
The series is as follows.
105, 112, 119, …, 994
Let 994 be the nth term of this A.P.
a = 105
d = 7
an = 994
n = ?
an = a + (n − 1) d
994 = 105 + (n − 1) 7
889 = (n − 1) 7
(n − 1) = 127
n = 128
Therefore, 128 three-digit numbers are divisible by 7.
Or
Three digit numbers which are divisible by 7 are 105, 112, 119, .... 994 .
These numbers form an AP with a = 105 and d = 7.
Let number of three-digit numbers divisible by 7 be n, an = 994
⇒ a + (n - 1) d = 994
⇒ 105 + (n - 1) × 7 = 994
⇒7(n - 1) = 889
⇒ n - 1 = 127
⇒ n = 128bers are divisible by 7?
14
Answer
First multiple of 4 that is greater than 10 is 12. Next will be 16.
Therefore, 12, 16, 20, 24, …
All these are divisible by 4 and thus, all these are terms of an A.P. with first term as 12 and common difference as 4.
When we divide 250 by 4, the remainder will be 2. Therefore, 250 − 2 = 248 is divisible by 4.
The series is as follows.
12, 16, 20, 24, …, 248
Let 248 be the nth term of this A.P.
a = 12
d = 4
an = 248
an = a + (n - 1) d
248 = 12 + (n - 1) × 4
236/4 = n - 1
59 = n - 1
n = 60
Therefore, there are 60 multiples of 4 between 10 and 250.
Or
Multiples of 4 lies between 10 and 250 are 12, 16, 20, ...., 248.
These numbers form an AP with a = 12 and d = 4.
Let number of three-digit numbers divisible by 4 be n, an = 248
⇒ a + (n - 1) d = 248
⇒ 12 + (n - 1) × 4 = 248
⇒4(n - 1) = 248
⇒ n - 1 = 59
⇒ n = 60
15
Answer
63, 65, 67, …
a = 63
d = a2 − a1 = 65 − 63 = 2
nth term of this A.P. = an = a + (n − 1) d
an= 63 + (n − 1) 2 = 63 + 2n − 2
an = 61 + 2n ... (i)
3, 10, 17, …
a = 3
d = a2 − a1 = 10 − 3 = 7
nth term of this A.P. = 3 + (n − 1) 7
an= 3 + 7n − 7
an = 7n − 4 ... (ii)
It is given that, nth term of these A.P.s are equal to each other.
Equating both these equations, we obtain
61 + 2n = 7n − 4
61 + 4 = 5n
5n = 65
n = 13
Therefore, 13th terms of both these A.P.s are equal to each other.
16
Answer
a3Â = 16
a + (3 − 1) d = 16
a + 2d = 16 ... (i)
a7 − a5 = 12
[a+ (7 − 1) d] − [a + (5 − 1) d]= 12
(a + 6d) − (a + 4d) = 12
2d = 12
d = 6
From equation (i), we get,
a + 2 (6) = 16
a + 12 = 16
a = 4
Therefore, A.P. will be
4, 10, 16, 22, …
17
Answer
Given A.P. is
3, 8, 13, …, 253
Common difference for this A.P. is 5.
Therefore, this A.P. can be written in reverse order as
253, 248, 243, …, 13, 8, 5
For this A.P.,
a = 253
d = 248 − 253 = −5
n = 20
a20 = a + (20 − 1) d
a20 = 253 + (19) (−5)
a20 = 253 − 95
a = 158
Therefore, 20th term from the last term is 158.
18
The sum of 4th and 8th terms of an A.P. is 24 and the sum of the 6th and 10th terms is 44. Find the first three terms of the A.P.
Answer
We know that,
an = a + (n − 1) d
a4 = a + (4 − 1) d
a4 = a + 3dÂ
Similarly,
a8 = a + 7d
a6 = a + 5d
a10 = a + 9d
Given that,
a4 + a8 = 24
⇒ a + 3d + a + 7d = 24
⇒ 2a + 10d = 24
⇒ a + 5d = 12 ... (i)
a6 + a10 = 44
⇒ a + 5d + a + 9d = 44
⇒ 2a + 14d = 44
⇒ a + 7d = 22 ... (ii)
Â
On subtracting equation (i) from (ii), we get,
2d = 22 − 12
⇒ 2d = 10Â
⇒ d = 5
From equation (i), we get
a + 5d = 12
⇒ a + 5 (5) = 12
⇒ a + 25 = 12
⇒ a = −13
a2 = a + d = − 13 + 5 = −8
a3 = a2 + d = − 8 + 5 = −3
Therefore, the first three terms of this A.P. are −13, −8, and −3.
19
Subba Rao started work in 1995 at an annual salary of Rs 5000 and received an increment of Rs 200 each year. In which year did his income reach Rs 7000?
Answer
It can be observed that the incomes that Subba Rao obtained in various years are in A.P. as every year, his salary is increased by Rs 200.Therefore, the salaries of each year after 1995 are
5000, 5200, 5400, …
Here, a = 5000
d = 200
Let after nth year, his salary be Rs 7000.
Therefore, an = a + (n − 1) d
7000 = 5000 + (n − 1) 200
200(n − 1) = 2000
(n − 1) = 10
n = 11
Therefore, in 11th year, his salary will be Rs 7000.
20
Ramkali saved Rs 5 in the first week of a year and then increased her weekly saving by Rs 1.75. If in the nth week, her week, her weekly savings become Rs 20.75, find n.
Answer
Given that,
a = 5
d = 1.75
an = 20.75
n = ?
an = a + (n − 1) d
20.75 = 5 + (n - 1) × 1.75
15.75 = (n - 1) × 1.75
(n - 1) = 15.75/1.75 = 1575/175
= 63/7 = 9
n - 1 = 9
n = 10
Hence, n is 10.
1
Find the sum of the following APs.
(i) 2, 7, 12 ,…., to 10 terms.
(ii) − 37, − 33, − 29 ,…, to 12 terms
(iii) 0.6, 1.7, 2.8 ,…….., to 100 termsÂ
(iv) 1/15, 1/12, 1/10, ...... , to 11 terms
Answer
For this A.P.,
a = 2
d = a2 − a1 = 7 − 2 = 5
n = 10
We know that,
Sn = n/2 [2a + (n - 1) d]
S10 = 10/2 [2(2) + (10 - 1) × 5]
= 5[4 + (9) × (5)]
= 5 × 49 = 245
(ii) −37, −33, −29 ,…, to 12 terms
For this A.P.,
a = −37
d = a2 − a1 = (−33) − (−37)
= − 33 + 37 = 4
n = 12
We know that,
Sn = n/2 [2a + (n - 1) d]
S12 = 12/2 [2(-37) + (12 - 1) × 4]
= 6[-74 + 11 × 4]
= 6[-74Â +Â 44]
= 6(-30) = -180
(iii) 0.6, 1.7, 2.8 ,…, to 100 terms
For this A.P.,
a = 0.6
d = a2 − a1 = 1.7 − 0.6 = 1.1
n = 100
We know that,
Sn = n/2 [2a + (n - 1) d]
S12 = 50/2 [1.2 + (99) × 1.1]
= 50[1.2 +Â 108.9]
= 50[110.1]
= 5505
(iv) 1/15, 1/12, 1/10, ...... , to 11 terms
For this A.P.,
2
Find the sums given below
(i) 7 + + 14Â + .................. +84
(ii)+ 14 + ………… + 84Â
(ii) 34 + 32 + 30 + ……….. + 10
(iii) − 5 + (− 8) + (− 11) + ………… + (− 230)
Answer
(i) For this A.P.,
a = 7
l = 84
d = a2 − a1 =- 7
= 21/2 - 7 = 7/2
Let 84 be the nth term of this A.P.
l = a (n - 1)d
84 = 7 + (n - 1) × 7/2
77 = (n - 1) × 7/2
22 = n − 1Â
n = 23
We know that,
Sn = n/2 (a + l)
Sn = 23/2 (7 + 84)
= (23×91/2) = 2093/2
=Â
(ii) 34 + 32 + 30 + ……….. + 10
For this A.P.,
a = 34
d = a2 − a1 = 32 − 34 = −2
l = 10
Let 10 be the nth term of this A.P.
l = a + (n − 1) d
10 = 34 + (n − 1) (−2)
−24 = (n − 1) (−2)
12 = n − 1
n = 13
Sn = n/2 (a + l)
= 13/2 (34Â + 10)
= (13×44/2) = 13 × 22
= 286
(iii) (−5) + (−8) + (−11) + ………… + (−230)
For this A.P.,
a = −5
l = −230
d = a2 − a1 = (−8) − (−5)
= − 8 + 5 = −3
Let −230 be the nth term of this A.P.
l = a + (n − 1)d
−230 = − 5 + (n − 1) (−3)
−225 = (n − 1) (−3)
(n − 1) = 75
n = 76
and,Â
Sn = n/2 (a + l)
= 76/2Â [(-5) +Â (-230)]
= 38(-235)
= -8930
3
In an AP
(i) Given a = 5, d = 3, an = 50, find n and Sn.
(ii) Given a = 7, a13 = 35, find d and S13.
(iii) Given a12 = 37, d = 3, find a and S12.
(iv) Given a3 = 15, S10 = 125, find d and a10.
(v) Given d = 5, S9 = 75, find a and a9.
(vi) Given a = 2, d = 8, Sn = 90, find n and an.
(vii) Given a = 8, an = 62, Sn = 210, find n and d.
(viii) Given an = 4, d = 2, Sn = − 14, find n and a.
(ix) Given a = 3, n = 8, S = 192, find d.
(x) Given l = 28, S = 144 and there are total 9 terms. Find a.
Answer
(i) Given that, a = 5, d = 3, an = 50
As an = a + (n − 1)d,
⇒ 50 = 5 + (n - 1) × 3
⇒ 3(n - 1) = 45
⇒ n - 1 = 15
⇒ n = 16
Now, Sn = n/2 (a + an)
Sn = 16/2 (5 + 50) = 440
(ii) Given that, a = 7, a13 = 35
As an = a + (n − 1)d, ⇒ 35 = 7 + (13 - 1)d
⇒ 12d = 28
⇒ d = 28/12 = 2.33
Now, Sn = n/2 (a + an)
S13Â =Â 13/2 (7Â + 35) = 273
(iii)Given that, a12 = 37, d = 3 As an = a + (n − 1)d,
⇒ a12 = a + (12 − 1)3
⇒ 37 = a + 33
⇒ a = 4
Sn = n/2 (a + an)
Sn = 12/2 (4 + 37)
= 246
(iv) Given that, a3 = 15, S10 = 125
As an = a + (n − 1)d,
a3 = a + (3 − 1)d
⇒ 15 = a + 2d ... (i)
Sn = n/2 [2a + (n - 1)d]
S10 = 10/2 [2a + (10 - 1)d]
⇒ 125 = 5(2a + 9d)
⇒ 25 = 2a + 9d ... (ii)
On multiplying equation (i) by (ii), we get
30 = 2a + 4d ... (iii)
On subtracting equation (iii) from (ii), we get
−5 = 5d
⇒ d = −1
From equation (i),
15 = a + 2(−1)
⇒ 15 = a − 2Â
⇒ a = 17
a10 = a + (10 − 1)d
⇒ a10 = 17 + (9) (−1)
⇒ a10 = 17 − 9 = 8
(v) Given that, d = 5, S9 = 75
As Sn = n/2 [2a + (n - 1)d]
S9 = 9/2 [2a + (9 - 1)5]
⇒ 25 = 3(a + 20)
⇒ 25 = 3a + 60
⇒ 3a = 25 − 60Â
4
Answer
Let there be n terms of this A.P.
For this A.P., a = 9
d = a2 − a1 = 17 − 9 = 8
As, Sn = n/2 [2a + (n - 1)d]
⇒ 636 = n/2 [2 × a + (8 - 1) × 8]
⇒ 636 = n/2 [18 + (n- 1) × 8]
⇒ 636 = n [9 + 4n − 4]
⇒ 636 = n (4n + 5)
⇒ 4n2 + 5n − 636 = 0
⇒ 4n2 + 53n − 48n − 636 = 0
⇒ n (4n + 53) − 12 (4n + 53) = 0
⇒ (4n + 53) (n − 12) = 0
Either 4n + 53 = 0 or n − 12 = 0
⇒ n = (-53/4) or n = 12
n cannot be (-53/4). As the number of terms can neither be negative nor fractional, therefore, n = 12 only.
5
The first term of an AP is 5, the last term is 45 and the sum is 400. Find the number of terms and the common difference.
Answer
a = 5l = 45
Sn = 400
⇒ 400 = n/2 (5 + 45)
⇒ 400 = n/2 (50)
⇒ n = 16
l = a + (n − 1) d
⇒ 45 = 5 + (16 − 1) d
⇒ 40 = 15d
⇒ d = 40/15 = 8/3
6
Answer
Given that,
a = 17
l = 350
d = 9
Let there be n terms in the A.P.
l = a + (n − 1) d
350 = 17 + (n − 1)9
⇒ 333 = (n − 1)9
⇒ (n − 1) = 37
⇒ n = 38
Sn = n/2 (a + l)
S38Â =Â 13/2 (17Â + 350)
= 19 × 367
= 6973
Thus, this A.P. contains 38 terms and the sum of the terms of this A.P. is 6973.
7
Answer
d = 7
a22Â = 149
S22Â = ?
an = a + (n − 1)d
a22 = a + (22 − 1)d
⇒ 149 = a + 21 × 7
⇒ 149 = a + 147
a = 2
Sn = n/2 (a + an)
= 22/2 (2Â +Â 149)
= 11 × 151
= 1661
8
Answer
Given that,a2Â = 14
a3Â = 18
d = a3 − a2 = 18 − 14 = 4
a2 = a + d
14 = a + 4
a = 10
Sn = n/2 [2a + (n - 1)d]
S51 = 51/2 [2 × 10 + (51 - 1) × 4]
= 51/2 [2 + (20) × 4]
= 51×220/2
= 51 × 110
= 5610
9
If the sum of first 7 terms of an AP is 49 and that of 17 terms is 289, find the sum of first n terms.
Answer
Given that,
S7Â = 49
S17Â = 289
S7 = 7/2 [2a + (n - 1)d]
S7 = 7/2 [2a + (7 - 1)d]
49 = 7/2 [2a + 16d]
7 = (a + 3d)
a + 3d = 7 ... (i)
Similarly,
S17 = 17/2 [2a + (17 - 1)d]
289 = 17/2 (2a + 16d)
17 = (a + 8d)
a + 8d = 17 ... (ii)
Subtracting equation (i) from equation (ii),
5d = 10
d = 2
From equation (i),
a + 3(2) = 7
a +Â 6 = 7
a =Â 1
Sn = n/2 [2a + (n - 1)d]
= n/2 [2(1) + (n - 1) × 2]
= n/2 (2 + 2n - 2)
=Â n/2 (2n)
=Â n2
10
Show that a1, a2 … , an , … form an AP where an is defined as below
(i) an = 3 + 4n
(ii) an = 9 − 5n
Also find the sum of the first 15 terms in each case.
Answer
(i) an = 3 + 4n
a1Â = 3 + 4(1) = 7
a2Â = 3 + 4(2) = 3 + 8 = 11
a3Â = 3 + 4(3) = 3 + 12 = 15
a4Â = 3 + 4(4) = 3 + 16 = 19
It can be observed that
a2 − a1 = 11 − 7 = 4
a3 − a2 = 15 − 11 = 4
a4 − a3 = 19 − 15 = 4
i.e., ak + 1 − ak is same every time. Therefore, this is an AP with common difference as 4 and first term as 7.
Sn = n/2 [2a + (n - 1)d]
S15 = 15/2 [2(7) + (15 - 1) × 4]
= 15/2Â [(14)Â + 56]
= 15/2 (70)
= 15 × 35
= 525
(ii) an = 9 − 5n
a1 = 9 − 5 × 1 = 9 − 5 = 4
a2 = 9 − 5 × 2 = 9 − 10 = −1
a3 = 9 − 5 × 3 = 9 − 15 = −6
a4 = 9 − 5 × 4 = 9 − 20 = −11
It can be observed that
a2 − a1 = − 1 − 4 = −5
a3 − a2 = − 6 − (−1) = −5
a4 − a3 = − 11 − (−6) = −5
i.e., ak + 1 − ak is same every time. Therefore, this is an A.P. with common difference as −5 and first term as 4.
Sn = n/2 [2a + (n - 1)d]
S15Â = 15/2Â [2(4)Â + (15Â - 1) (-5)]
= 15/2Â [8 + 14(-5)]
= 15/2 (8 - 70)
= 15/2 (-62)
= 15(-31)
= -465
11
Answer
Given that,
Sn = 4n − n2
First term, a = S1 = 4(1) − (1)2
= 4 − 1 = 3
Sum of first two terms = S2
= 4(2) − (2)2 = 8 − 4 = 4
Second term, a2 = S2 − S1 = 4 − 3 = 1
d = a2 − a = 1 − 3 = −2
an = a + (n − 1)dÂ
= 3 + (n − 1) (−2)
= 3 − 2n + 2
= 5 − 2n
Therefore, a3 = 5 − 2(3) = 5 − 6 = −1
a10 = 5 − 2(10) = 5 − 20 = −15
Hence, the sum of first two terms is 4. The second term is 1.
3rd, 10th, and nth terms are −1, −15, and 5 − 2n respectively.
12
Answer
The positive integers that are divisible by 6 are
6, 12, 18, 24 …
It can be observed that these are making an A.P. whose first term is 6 and common difference is 6.
a = 6
d = 6
S40Â =Â ?
Sn = n/2 [2a + (n - 1)d]
S40Â = 40/2Â [2(6)Â + (40 - 1) 6]
= 20[12 + (39) (6)]
= 20(12 + 234)
= 20 × 246
= 4920
13
Answer
The multiples of 8 are8, 16, 24, 32…
These are in an A.P., having first term as 8 and common difference as 8.
Therefore, a = 8
d = 8
S15Â = ?
Sn = n/2 [2a + (n - 1)d]
S15Â = 15/2Â [2(8)Â + (15 - 1)8]
=Â 15/2[6 + (14) (8)]
=Â 15/2[16 + 112]
= 15(128)/2
= 15 × 64
= 960
14
Answer
The odd numbers between 0 and 50 are
1, 3, 5, 7, 9 … 49
Therefore, it can be observed that these odd numbers are in an A.P.
a = 1
d = 2
l = 49
l = a + (n − 1) d
49 = 1 + (n − 1)2
48 = 2(n − 1)
n − 1 = 24
n = 25
Sn = n/2 (a + l)
S25Â = 25/2 (1 + 49)
= 25(50)/2
=(25)(25)
= 625
15
Answer
It can be observed that these penalties are in an A.P. having first term as 200 and common difference as 50.
a = 200
d = 50
Penalty that has to be paid if he has delayed the work by 30 days =Â S30
= 30/2Â [2(200) + (30 - 1) 50]
= 15Â [400 + 1450]
= 15 (1850)
= 27750
Therefore, the contractor has to pay Rs 27750 as penalty.
16
Answer
Let the cost of 1st prize be P.
Cost of 2nd prize = P − 20
And cost of 3rd prize = P − 40
It can be observed that the cost of these prizes are in an A.P. having common difference as −20 and first term as P.
a = P
d = −20
Given that, S7 = 700
7/2 [2a + (7 - 1)d] = 700
a + 3(−20) = 100
a − 60 = 100
a = 160
Therefore, the value of each of the prizes was Rs 160, Rs 140, Rs 120, Rs 100, Rs 80, Rs 60, and Rs 40.
17
Answer
It can be observed that the number of trees planted by the students is in an AP.1, 2, 3, 4, 5………………..12
First term, a = 1
Common difference, d = 2 − 1 = 1
Sn = n/2 [2a + (n - 1)d]
S12Â = 12/2Â [2(1)Â + (12 - 1)(1)]
= 6 (2 + 11)
= 6 (13)
= 78
Therefore, number of trees planted by 1 section of the classes = 78
Number of trees planted by 3 sections of the classes = 3 × 78 = 234
Therefore, 234 trees will be planted by the students.
18
A spiral is made up of successive semicircles, with centres alternately at A and B, starting with centre at A of radii 0.5, 1.0 cm, 1.5 cm, 2.0 cm, ……… as shown in figure. What is the total length of such a spiral made up of thirteen consecutive semicircles? (Take π = 22/7)
Answer
Perimeter of semi-circle = πr
P1 = π(0.5) = π/2 cm
P2 = π(1) = π cm
P3 = π(1.5) = 3π/2 cm
P1, P2, P3 are the lengths of the semi-circles
π/2, π, 3π/2, 2π, ....
P1= π/2 cm
P2 = π cm
d = P2- P1 = π - π/2 = π/2
First term = P1 = a = π/2 cm
Sn = n/2 [2a + (n - 1)d]
Therefor, Sum of the length of 13 consecutive circles
S13Â =Â 13/2Â [2(Ï€/2)Â + (13Â - 1)Ï€/2]
= 13/2 [π + 6π]
=13/2 (7π) = 13/2 × 7 × 22/7
= 143 cm
19
200 logs are stacked in the following manner: 20 logs in the bottom row, 19 in the next row, 18 in the row next to it and so on. In how many rows are the 200 logs placed and how many logs are in the top row?
Answer
It can be observed that the numbers of logs in rows are in an A.P.
20, 19, 18…Â
For this A.P.,
a = 20
d = a2 − a1 = 19 − 20 = −1
Let a total of 200 logs be placed in n rows.
Sn = 200
Sn = n/2 [2a + (n - 1)d]
S12 = 12/2 [2(20) + (n - 1)(-1)]
400 = n (40 − n + 1)
400 = n (41 − n)
400 = 41n − n2
n2 − 41n + 400 = 0
n2 − 16n − 25n + 400 = 0
n (n − 16) −25 (n − 16) = 0
(n − 16) (n − 25) = 0
Either (n − 16) = 0 or n − 25 = 0
n = 16 or n = 25
an = a + (n − 1)d
a16 = 20 + (16 − 1) (−1)
a16 = 20 − 15
a16Â = 5
Similarly,
a25 = 20 + (25 − 1) (−1)
a25 = 20 − 24
= −4
Clearly, the number of logs in 16th row is 5. However, the number of logs in 25th row is negative, which is not possible.
Therefore, 200 logs can be placed in 16 rows and the number of logs in the 16th row is 5.
20
In a potato race, a bucket is placed at the starting point, which is 5 m from the first potato and other potatoes are placed 3 m apart in a straight line. There are ten potatoes in the line.
A competitor starts from the bucket, picks up the nearest potato, runs back with it, drops it in the bucket, runs back to pick up the next potato, runs to the bucket to drop it in, and she continues in the same way until all the potatoes are in the bucket. What is the total distance the competitor has to run?
[Hint: to pick up the first potato and the second potato, the total distance (in metres) run by a competitor is 2 × 5 + 2 ×(5 + 3)]
Answer
The distances of potatoes from the bucket are 5, 8, 11, 14…
Distance run by the competitor for collecting these potatoes are two times of the distance at which the potatoes have been kept. Therefore, distances to be run are
10, 16, 22, 28, 34,……….
a = 10
d = 16 − 10 = 6
S10Â =?
S10 = 10/2 [2(20) + (n - 1)(-1)]
= 5[20 + 54]
= 5 (74)
= 370
Therefore, the competitor will run a total distance of 370 m.
1
Which term of the A.P.: 121, 117, 113, ..., is its first negative term?
[Hint: Find n for an < 0]
Answer
We have the A.P. having a = 121 and d = 117 - 121 = - 4
∴ an = a + (n - 1) d
= 121 + (n - 1) × (- 4)
= 121 - 4n + 4
= 125 - 4n
For the first negative term, we have
an < 0

Thus, the first negative term is 32nd term.
2
Answer
Here, T3 + T7 = 6 and T3 × T7 = 8
Let the first term = a and the common difference = d
∴ T3 = a + 2d and T7 = a + 6d
∵ T3 + T7 = 6
∴ (a + 2d) + (a + 6d) = 6
⇒ 2a + 8d = 6
⇒ a + 4d = 3 ...(1)
Again T3 × T7 = 8
∴ (a + 2d) × (a + 6d) = 8
⇒ (a + 4d - 2d) × (a + 4d + 2d) = 8
⇒ [(a + 4d) - 2d] × [(a + 4d) + 2d] = 8
⇒ [(3) - 2d] × [(3) + 2d] = 8 [From (1)]
⇒ 32 - (2d)2 = 8
⇒ 9 - 4d2 = 8
⇒ - 4d2 = 8 - 9 = - 1

= 80−60=20
i.e., the sum of first 16 terms = 20
3
A ladder has rungs 25 cm apart (see figure). The rungs decrease uniformly in length from 45 cm at the bottom to 25 cm at the top. If the top and the bottom rungs are
m apart, what is the length of the wood required for the rungs?
[Hint: Number of rungs = 250/25 + 1]

Answer
Total distance between bottom to top rungs
= ![]()
= 5/2 × 100 cm
= 250 cm
Distance between two consecutive rungs = 25 cm
∴ Number of rungs = 250/25 + 1 = 10+1 = 11
Length of the 1st rung (bottom rung) = 45 cm
Length of the 11th rung (top rung) = 25 cm
Let the length of each successive rung decrease by x cm
∴ Total length of the rungs
 = 45 cm + (45 - x) cm + (45 - 2x) cm + ..... + 25 cm
Here, the numbers 45, (45 - x), (45 - 2x), ....., 25 are in an A.P. such that
First term ‘a’ = 45
Last term ‘l’ = 25
Number of terms ‘n’ = 11
∴ Using,

∴ Total length of 11 rungs = 385 cm
i.e., Length of wood required for the rungs is 385 cm
4
Answer
We have, the following consecutive numbers on the houses of a row;
1, 2, 3, 4, 5, ....., 49.
These numbers are in an A.P., such that
a = 1
d = 2 - 1 = 1
n = 49
Let one of the houses be numbered as x
∴ Number of houses preceding it = x - 1
Number of houses following it = 49 - x
Now, the sum of the house-numbers preceding x is given by:
Using,

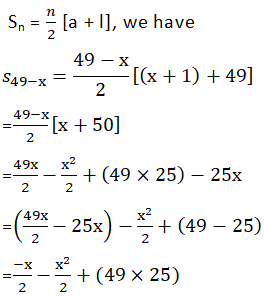
The houses beyond x are numbered as
(x + 1), (x + 2), (x + 3), ....., 49
∴ For these house numbers (which are in an A.P.),
First term (a) = x + 1
Last term (l) = 49
∴ Using,

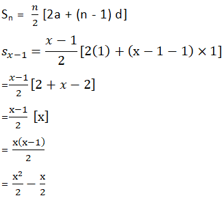
According to the question,
[Sum of house numbers preceding x] = [Sum of house numbers following x]
i.e., Sx − 1 = S49 − x

5
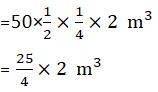
A small terrace at a football ground comprises of 15 steps each of which is 50 m long and built of solid concrete.
Each step has a rise of 1/4m  and a tread of 1/2m. (see Fig.). Calculate the total volume of concrete required to build the terrace.
[Hint: Volume of concrete required to build the first step = 1/4 × 1/2 × 50 m3]

Answer
For 1st step:
Length = 50 m,
Breadth = 1/2 m,
Height = 1/4 m
∴ Volume of concrete required to build the 1st step
= Volume of the cuboidal step
= Length × Breadth × height
= 50 × 1/2 × 1/4 × 50 m3
= 25/4 × 1 m3
For 2nd step:
Length = 50 m,
Breadth = 1/2m,
Height = (1/4 + 1/4) m = 2× 1/4 m
∴ Volume of concrete required to build the 2nd step

For 3rd step:
Length = 50 m,
Breadth = 1/2m,
Height = (1/4 + 1/4 + 1/4) m = 3× 1/4 m
∴ Volume of concrete required to build the 3rd step

Thus, the volumes (in m3) of concrete required to build the various steps are:

Here, total number of steps n = 15
Total volume of concrete required to build 15 steps is given by the sum of their individual volumes.

Thus, the required volume of concrete is 750 m3.