NCERT Revision Notes for Chapter 10 Biomolecules Class 12 Chemistry
CBSE NCERT Revision Notes1
Biomolecules
Answer
Macromolecules which are naturally occurring in biological system are called biomolecules. Examples : polysaccharides (starch, cellulose, etc.), proteins, enzymes, vitamins, hormones, etc.2
Carbohydrates
Answer
These are optically active polyhydroxy aldehydes or ketones or the compounds which produce such units on hydrolysis, e.g., glucose, sucrose, cellulose, starch etc.3
Classification of carbohydrates
Answer
(a) Monosaccharides : The simple carbohydrates that cannot be broken further into smaller units on hydrolysis, e.g., glucose and fructose, ribose, ribose, etc.(b) Oligosaccharides : These are the carbohydrates which on hydrolysis give two to ten units of
(c) Polysaccharides : These are the carbohydrates which produce a large number of monosaccharide units on hydrolysis , e.g., starch, cellulose, etc.
4
Reducing agent
Answer
(a) Reducing sugars : Those carbohydrates which contain free aldehydic or ketonic group and reduce Fehling’s solution and Tollens’ reagent are called reducing sugars, e.g., all monosaccharides maltose and lactose.(b) Non – reducing sugars : Those sugars which do not have free aldehydic or ketonic group and do not reduce Fehling’s solution or Tollens’ reagent are called non – reducing sugars, e.g., sucrose.
5
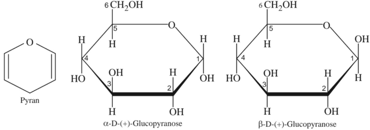
Structure of Glucose
Answer
(a) Structure of Glucose :
(b) Cyclic structure of glucose :Â
Image

(c) Haworth Structures :

6
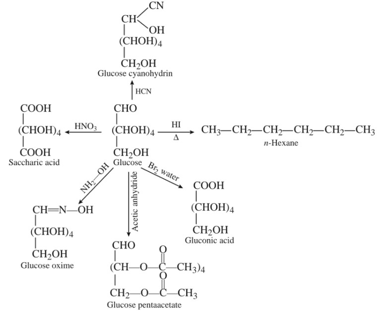
Reactions of Glucose
Answer

7
Structure of Fructose
Answer

8
Disaccharides
Answer
(a) Ring structure of a sucrose molecule :

(b) Ring structure of a maltose molecule :

(c) Ring structure of a lactose molecule :Â

9
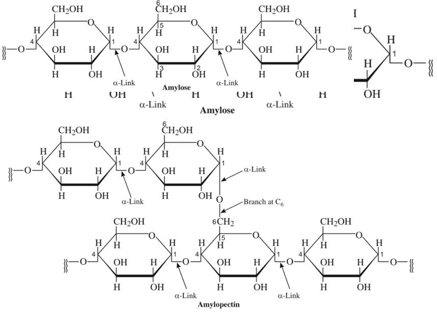
Polysaccharides
Answer
(a) Starch :Â Â
(b) Cellulose:

10
Nucleic Acids
Answer
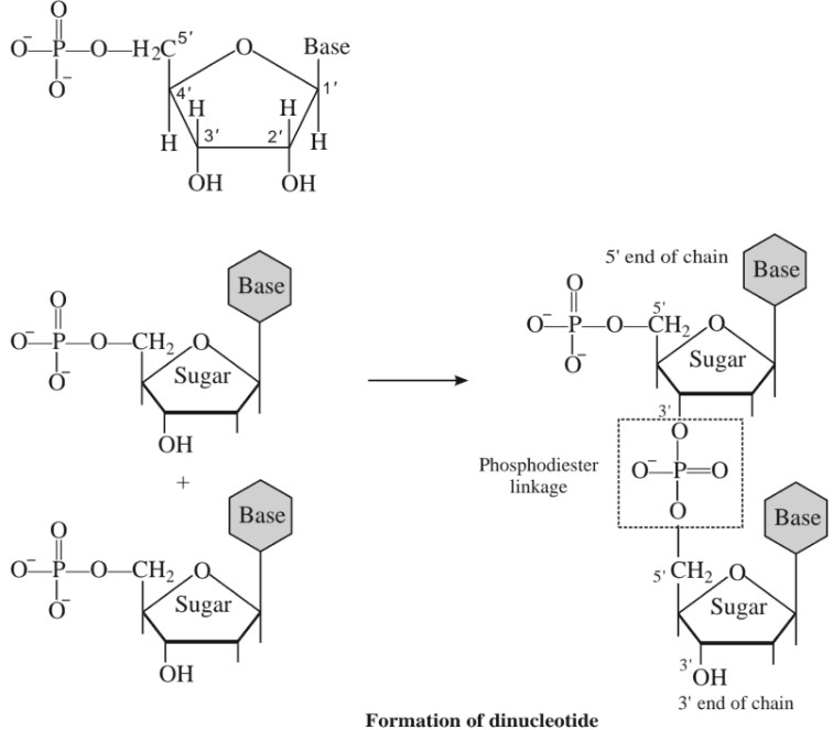
(a) Structure of Nucleoside
(b) Nucleotide

11
DNA
Answer
(a) Codon : The sequence of nucleotides in mRNA molecules are read in a serial order in sets of three (triplet) at a time. Each triplet is called a codon. It specifies one amino acid. The mRNA codon recognizes the amino acids through tRNAs which carry specific amino acids.(b) Gene : The sequence of bases or nucleotides in the DNA molecule which regulates the synthesis of a specific protein is called as gene. Every protein in the cell has a corresponding gene. The relationship between a nucleotide triplet (codon) and the amino acid is called genetic code.
(c) Mutation : The chemical change in the sequence of bases in the DNA molecule can lead to synthesis of protein with an altered amino acid sequence is called mutation. This is brought about spontaneously by exposure to UV – rays, X – rays and chemicals.
12
Vitamins
Answer
Vitamins are generally regarded as organic compounds required in the diet in small amounts to perform specific biological functions for normal maintenance of optimum growth and health of the organism.Vitamins are classified into groups depending upon their solubility in fat or water :
(i) Fat – soluble vitamins : Vitamins A, D, E and K are soluble in fat and oils but insoluble in water. They are stored in liver and adipose tissues.
(ii) Water – soluble vitamins: Vitamins belonging to group B and Vitamin C are soluble in water. They must be supplied regularly in diet because they are readily excreted in urine and cannot be stored (except vitamin B12) in our body.
 Some Important Vitamins, their Sources and their Deficiency Diseases

13
Hormones
Answer
Hormones are molecules that act as intercellular messengers. These are produced by endocrine glands in the body and are released directly in the blood stream. From here these are transported to the site of their action.Functions of hormones :
(i) They help to maintain the balance of biological activities in the body. For example, insulin keeps the blood glucose level within the range, epinephrine and norepinephrine mediate response to external stimuli, growth hormones and sex hormones play role in growth and development.
(ii) The hormones released by gonads are responsible for development of secondary sexual characters.
(iii) Adrenal cortex release glucocorticoids and mineralocorticoids. The glucocorticoids control the carbohydrate metabolism, modulate inflammatory reactions and are involved in reactions to stress. The mineralocorticoids control the level of excretion of water and salt by the kidney.
14
Differences between DNA and RNA.
Answer
