Organic Chemistry: Some Basic Principles and Techniques

Organic Chemistry- Some Basic Principles and Techniques

Book Solutions

1

What are hybridisation states of each carbon atom in the following compounds?

CH2=C=O, CH3CH=CH2, (CH3)2CO, CH2=CHCN, C6H6

Answer

Exercise

2

Indicate the σ and π bonds in the following molecules:

C6H6, C6H12, CH2Cl2, CH2 = C = CH2, CH3NO2, HCONHCH3

Answer



Exercise

3

Write bond line formulas for: Isopropyl alcohol, 2,3-Dimethyl butanal, Heptan-4-one.


Answer

Exercise

4

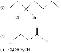
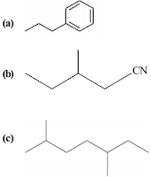
Give the IUPAC names of the following compounds:



Answer

(a) Propylbenzene 

(b) 3–Methylpentanitrile 

(c) 2, 5–Dimethylheptane 

(d) 3–Bromo–3–chloroheptane 

(e) 3–Chloropropanal 

(f) 2, 2–Dichloroethanol

Exercise

5

Which of the following represents the correct IUPAC name for the compounds concerned? 
(a) 2,2-Dimethylpentane or 2-Dimethylpentane 
(b) 2,4,7-Trimethyloctane or 2,5,7-Trimethyloctane 
(c) 2-Chloro-4-methylpentane or 4-Chloro-2-methylpentane 
(d) But-3-yn-1-ol or But-4-ol-1-yne

Answer

(a) The prefix di in the IUPAC name indicates that two identical substituent groups are present in the parent chain. Since two methyl groups are present in the C–2 of the parent chain of the given compound, the correct IPUAC name of the given compound is 2, 2–dimethylpentane.

(b) Locant number 2, 4, 7 is lower than 2, 5, 7. Hence, the IUPAC name of the given compound is 2, 4, 7–trimethyloctane.

(c) If the substituents are present in the equivalent position of the parent chain, then the lower number is given to the one that comes first in the name according to the alphabetical order. Hence, the correct IUPAC name of the given compound is 2–chloro–4–methylpentane.

(d) Two functional groups – alcoholic and alkyne – are present in the given compound. The principal functional group is the alcoholic group. Hence, the parent chain will be suffixed with ol. The alkyne group is present in the C–3 of the parent chain. Hence, the correct IUPAC name of the given compound is But–3–yn–1–ol.


Exercise

6

Draw formulas for the first five members of each homologous series beginning with the following compounds. 
(a) H–COOH 
(b) CH3COCH3 
(c) H–CH=CH2

Answer

(a)

H–COOH : Methanoic acid

CH3–COOH : Ethanoic acid

CH3–CH2–COOH : Propanoic acid

CH3–CH2–CH2–COOH : Butanoic acid

CH3–CH2–CH2–CH2–COOH : Pentanoic acid

(b)

CH3COCH3 : Propanone

CH3COCH2CH3 : Butanone

CH3COCH2CH2CH3 : Pentan-2-one

CH3COCH2CH2CH2CH3 : Hexan-2-one

CH3COCH2CH2CH2CH2CH3 : Heptan-2-one

(c)

H–CH=CH2 : Ethene

CH3–CH=CH2 : Propene

CH3–CH2–CH=CH2 : 1-Butene

CH3–CH2–CH2–CH=CH2 : 1-Pentene

CH3–CH2–CH2–CH2–CH=CH2 : 1-Hexene

Exercise

7

Give condensed and bond line structural formulas and identify the functional group(s) present, if any, for :

(a) 2,2,4-Trimethylpentane

(b) 2-Hydroxy-1,2,3-propanetricarboxylic acid

(c) Hexanedial

Answer

Exercise

8

Identify the functional groups in the following compounds.

Answer


Exercise

9

Which of the two: O2NCH2CH2O– or CH3CH2O– is expected to be more stable and why?


Answer

NO2 group is an electron-withdrawing group. Hence, it shows –I effect. By withdrawing the electrons toward it, the NO2 group decreases the negative charge on the compound, thereby stabilising it. On the other hand, ethyl group is an electron-releasing group. Hence, the ethyl group shows +I effect. This increases the negative charge on the compound, thereby destabilising it. Hence, O2NCH2CH2O– is expected to be more stable than CH3CH2O–.
Exercise

10

Explain why alkyl groups act as electron donors when attached to a π system.

Answer

Exercise

11

Draw the resonance structures for the following compounds. Show the electron shift using curved-arrow notation.

Answer


Exercise

12

What are electrophiles and nucleophiles? Explain with examples.

Answer

Electrophile: Electrophiles are electron seeking reagents. They are electron deficient and can receive an electron pair. These are neutral or positively charged species. Examples of electrophiles are given below: Charged electrophiles: H+, H3O+, NH4+, Br+ etc. Neutral electrophiles: AlCl3, BF3, FeCl3 etc. Nucleophile: Nucleophiles are nucleus seeking reagents. They contain unshaired pair of electrons. These are neutral or negatively charged species.

For example: 

Charged Nucleophiles: F–, Cl–, OH–, CN– etc. 

Neutral Nucleophiles: NH3, H2O, ROH, RNH2 etc.


Exercise

13

Identify the reagents shown in bold in the following equations as nucleophiles or electrophiles:

(a) CH3COOH + HO–→ CH3COO– + H2O

(b) CH3COCH3+ CN– → (CH3)2C(CN) + (OH)–

(c) C6H5 + CH3C+O → C6H5COCH3

Answer

A nucleophile is a reagent that has an electron pair and is willing to donate it. It is also known as a nucleus-loving reagent.

An electrophile is a reagent which is in need of an electron pair and is also known as an electron-loving pair.

(a) CH3COOH + HO–→ CH3COO– + H2O

It is a nucleophile since HO- is electron rich in nature.

(b) CH3COCH3+ CN– → (CH3)2C(CN) + (OH)–

It is a nucleophile since CN– is electron rich in nature.

(c) C6H5 + CH3C+O → C6H5COCH3

It is an electrophile since CH3C+O is electron-deficient in nature.

Exercise

14

Classify the following reactions in one of the reaction type studied in this unit.

(a) CH3CH2Br + HS– → CH3CH2SH + Br–

(b) (CH3)2 C = CH2 + HCl → (CH3)2 ClC–CH3

(c) CH3CH2Br + HO– → CH2 = CH2 + H2O + Br–

(d) (CH3)3 C – CH2OH + HBr → (CH3)2 CBrCH2CH3 + H2O

Answer

(a) It is an example of substitution reaction as in this reaction the bromine group in bromoethane is substituted by the –SH group.

(b) It is an example of addition reaction as in this reaction two reactant molecules combine to form a single product.

(c) It is an example of elimination reaction as in this reaction hydrogen and bromine are removed from bromoethane to give ethene.

(d) In this reaction, substitution takes place, followed by a rearrangement of atoms and groups of atoms.

Exercise

15

What is the relationship between the members of following pairs of structures? Are they structural or geometrical isomers or resonance contributors?


Answer

(a) Structural isomers: Compounds have same molecular formula but they differ in position of the functional group. Hence represents structural isomers (actually position isomers as well as metamers). 

(b) Geometrical isomers: The relative position of deuterium and hydrogen in space are different. 

(c) Resonance contributors: Because they differ in the position of electrons but not atoms.


Exercise

16

For the following bond cleavages, use curved-arrows to show the electron flow and classify each as homolysis or heterolysis. Identify reactive intermediate produced as free radical, carbocation and carbanion.

Answer

Exercise

17

Explain the terms Inductive and Electromeric effects. Which electron displacement effect explains the following correct orders of acidity of the carboxylic acids?

(a) Cl3CCOOH > Cl2CHCOOH > ClCH2COOH

(b) CH3CH2COOH > (CH3)2CHCOOH > (CH3)3C.COOH

Answer

Inductive Effect: When there is a displacement of s–electrons along a saturated carbon chain whenever an electron withdrawing or electron donating group is present at the end of the chain is called the inductive effect. This effect is permanent. Any atom or group, if attracts electrons more strongly than hydrogen, it is said to have –I effect (electron–attracting or electron–withdrawing or –I groups), viz. NO2, Cl, Br, I, F, COOH, OCH3, etc.; while if atom or group attracts electrons less strongly than hydrogen it is said to have + I effect (electrons –repelling or electron–releasing or + I groups), viz. CH3, C2H5, Me2CH and Me3C, etc.

Electromeric Effect (E - Effect): It is defined as the complete transfer of a shared pair of p-electrons to one of the atoms (more electronegative) joined by a multiple bond in the presence of an attacking reagent. It is a temporary effect. There are two types of electromeric effect: (i) + E effect: In this, S-electrons of multiple bond are transferred towards the attacking reagent. For example:


(ii) – E effect: In this, S-electrons of multiple bond are transferred away from the attacking reagent. For example:

As the number of halogen atoms decreases, the overall –I-effect decreases and the acid strength decreases accordingly,

(b) +I–effect explains the given order as shown below:

As the number of alkyl groups increases, the +I-effect increases and the acid strength decreases accordingly.


Exercise

18

Give a brief description of the principles of the following techniques taking an example in each case.

(a) Crystallisation 

(b) Distillation 

(c) Chromatography

Answer

(a) Crystallisation

Crystallisation is one of the most commonly used techniques for the purification of solid organic compounds.

Principle: It is based on the difference in the solubilites of the compound and the impurities in a given solvent. The impure compound gets dissolved in the solvent in which it is sparingly soluble at room temperature, but appreciably soluble at higher temperature. The solution is concentrated to obtain a nearly saturated solution. On cooling the solution, the pure compound crystallises out and is removed by filtration.

For example, pure aspirin is obtained by recrystallising crude aspirin. Approximately 2 – 4 g of crude aspirin is dissolved in about 20 mL of ethyl alcohol. The solution is heated (if necessary) to ensure complete dissolution. The solution is then left undisturbed until some crystals start to separate out. The crystals are then filtered and dried.

(b) Distillation

This method is used to separate volatile liquids from non-volatile impurities or a mixture of those liquids that have a sufficient difference in their boiling points.

Principle: It is based on the fact that liquids having different boiling points vapourise at different temperatures. The vapours are then cooled and the liquids so formed are collected separately.

For example, a mixture of chloroform (b.p = 334 K) and aniline (b.p = 457 K) can be separated by the method of distillation. The mixture is taken in a round bottom flask fitted with a condenser. It is then heated. Chloroform, being more volatile, vaporizes first and passes into the condenser. In the condenser, the vapours condense and chloroform trickles down. In the round bottom flask, aniline is left behind.

(c) Chromatography

It is one of the most useful methods for the separation and purification of organic compounds.

Principle: It is based on the difference in movement of individual components of a mixture through the stationary phase under the influence of mobile phase.

For example, a mixture of red and blue ink can be separated by chromatography. A drop of the mixture is placed on the chromatogram. The component of the ink, which is less adsorbed on the chromatogram, moves with the mobile phase while the less adsorbed component remains almost stationary.

Exercise

19

Describe the method, which can be used to separate two compounds with different solubilities in a solvent S.


Answer

Fractional crystallisation is the method used for separating two compounds with different solubilities in a solvent S. The process of fractional crystallisation is carried out in four steps.

(a) Preparation of the solution: The powdered mixture is taken in a flask and the solvent is added to it slowly and stirred simultaneously. The solvent is added till the solute is just dissolved in the solvent. This saturated solution is then heated.

(b) Filtration of the solution: The hot saturated solution is then filtered through a filter paper in a China dish.

(c) Fractional crystallisation: The solution in the China dish is now allowed to cool. The less soluble compound crystallises first, while the more soluble compound remains in the solution. After separating these crystals from the mother liquor, the latter is concentrated once again. The hot solution is allowed to cool and consequently, the crystals of the more soluble compound are obtained.

(d) Isolation and drying: These crystals are separated from the mother liquor by filtration. Finally, the crystals are dried.


Exercise

20

What is the difference between distillation, distillation under reduced pressure and steam distillation?


Answer

Distillation: This method is used for separation of volatile and non-volatile compounds or a mixture of liquids that have sufficient difference in boiling point. For example: Separation of benzene (B.P. 353 K) and toluence (B.P. 384 K). 

Distillation under reduced pressure: This method is used to purify a liquid that tends to decompose on boiling under the conditions of reduced pressure, the liquid will boil at low temperature than its boiling point and will therefore, not decompose. For example: Glycerol is distilled at reduced pressure as it decomposes on heating to its boiling point. 

Steam distillation: This method is used to purify compound which is steam volatile and immiscible in water. On passing steam, the compound gets heated up and the steam gets condensed to water. After some time the mixture of water and liquid starts to boil and passes through the condensor. The condensed mixture of water and liquid is then separated by using a separating funnel. Mixture of water and aniline is separated by this method.

Exercise

21

Discuss the chemistry of Lassaigne’s test.

Answer

N, S, halogens and P are detected by Lassaigne’s test. The elements present in organic compounds are converted to ionic form by fusing with Na-metal. The reactions involved are:

They are extracted from fused mass by boiling with distilled water. The extract is known as sodium fusion extract (Lassaigne’s extract). 

(i) Test for N: The extract is boiled with FeSO4 and then acidified with conc. H2SO4. Prussian blue colour confirms presence of nitrogen.

But if sulphur is also present along with nitrogen one gets blood red colouration due to formation of ferric thiocyanate.

(ii) Test for S: (a) To extract, add CH3COOH and lead acetate. A black ppt of PbS confirms S.

(b) Take small portion of Lassaigne's extract and add few drops of sodium nitroprusside solution, a violet colouration is obtained which fades away on standing.

(iii) Test for halogens: The extract is acidified with HNO3 and then treated with AgNO3. A white ppt, soluble in NH4OH indicates the presence of Cl. A yellowish ppt, sparingly soluble in NH4OH indicates the presence of Br. A yellow ppt, insoluble in NH4OH indicates the presence of I.

If N or S is also present, then extract is first boiled with conc. HNO3 to decompose CN– and S2– (they would otherwise interfere with AgNO3 test for halogens).

Exercise

22

Differentiate between the principle of estimation of nitrogen in an organic compound by 

(i) Dumas method 

(ii) Kjeldahl’s method.


Answer



Exercise

23

Discuss the principle of estimation of halogens, sulphur and phosphorus present in an organic compound.


Answer





Exercise

24

Explain the principle of paper chromatography.

Answer

Paper chromatography is based on the principle of continous differential partitioning of components of a mixture between stationary and mobile phases. In this method, a spot of the solution of the mixture to be separated is applied at about 2cm above the base of the strip of the chromatography paper. The strip is then suspended in a suitable solvent. This solvent acts as mobile phase and rises up the paper by capillary action and flows over the spot. After sometime the spots of the separated coloured components are visible at different heights. The paper so obtained is called as a chromatogram.

Exercise

25

Why is nitric acid added to sodium extract before adding silver nitrate for testing halogens?


Answer

Sodium extract is boiled with nitric acid to decompose NaCN and Na2S, if present, otherwise these will react with AgNO3 and hence will interfere with the test.

Exercise

26

Explain the reason for the fusion of an organic compound with metallic sodium for testing nitrogen, sulphur and halogens.


Answer

The elements sodium, sulphur and halogens are covalently bond to carbon in organic compounds. The organic compound is fused with sodium metal to convert these elements into ionic form so that they can be easily detected.
Exercise

27

Name a suitable technique of separation of the components from a mixture of calcium sulphate and camphor.

Answer

The process of sublimation is used to separate a mixture of camphor and calcium sulphate. In this process, the sublimable compound changes from solid to vapour state without passing through the liquid state. Camphor is a sublimable compound and calcium sulphate is a non-sublimable solid. Hence, on heating, camphor will sublime while calcium sulphate will be left behind.


Exercise

28

Explain, why an organic liquid vaporises at a temperature below its boiling point in its steam distillation?

Answer

In steam distillation, the organic liquid starts to boil when the sum of vapour pressure due to the organic liquid (p1) and the vapour pressure due to water (p2) becomes equal to atmospheric pressure (p), that is, p = p1 + p2

Since p1 < p2, organic liquid will vapourise at a lower temperature than its boiling point.

Exercise

29

Will CCl4 give white precipitate of AgCl on heating it with silver nitrate? Give reason for your answer.

Answer

CCl4 will not give the white precipitate of AgCl on heating it with silver nitrate. This is because the chlorine atoms are covalently bonded to carbon in CCl4. To obtain the precipitate, it should be present in ionic form and for this, it is necessary to prepare the Lassaigne’s extract of CCl4.
Exercise

30

Why is a solution of potassium hydroxide used to absorb carbon dioxide evolved during the estimation of carbon present in an organic compound?

Answer

Exercise

31

Why is it necessary to use acetic acid and not sulphuric acid for acidification of sodium extract for testing sulphur by lead acetate test?


Answer

Although the addition of sulphuric acid will precipitate lead sulphate, the addition of acetic acid will ensure a complete precipitation of sulphur in the form of lead sulphate due to common ion effect. Hence, it is necessary to use acetic acid for acidification of sodium extract for testing sulphur by lead acetate test.
Exercise

32

An organic compound contains 69% carbon and 4.8% hydrogen, the remainder being oxygen. Calculate the masses of carbon dioxide and water produced when 0.20 g of this substance is subjected to complete combustion.


Answer

Exercise

33

A sample of 0.50 g of an organic compound was treated according to Kjeldahl’s method. The ammonia evolved was absorbed in 50 mL of 0.5 M H2SO4. The residual acid required 60 mL of 0.5 M solution of NaOH for neutralisation. Find the percentage composition of nitrogen in the compound.

Answer


Exercise

34

0.3780 g of an organic chloro compound gave 0.5740 g of silver chloride in Carius estimation. Calculate the percentage of chlorine present in the compound.


Answer

Given that,

Mass of organic compound is 0.3780 g.

Mass of AgCl formed = 0.5740 g

1 mol of AgCl contains 1 mol of Cl.

Thus, mass of chlorine in 0.5740 g of AgCl


Exercise

35

In the estimation of sulphur by Carius method, 0.468 g of an organic sulphur compound afforded 0.668 g of barium sulphate. Find out the percentage of sulphur in the given compound.

Answer

Here, the mass of the substance taken = 0. 468 g 

Mass of BaSO4 formed = 0. 668 g 

Now1 mole of BaSO4 1g atom of S 

or (137 + 32 + 4 × 16) = 233g of BaSO4 =32 g of S 

Applying the relation, Percentage of Sulphur


Exercise

36

In the organic compound CH2=CH–CH2–CH2–C≡CH, the pair of hydridised orbitals involved in the formation of: C2 – C3 bond is:

(a) sp – sp2

(b) sp – sp3

(c) sp2 – sp3 

(d) sp3– sp3

Answer

When both double and triple bonds are present, double bond is given preference while numbering the carbon chain. Thus,

C2 –C3 bond is formed by overlap of sp2 – sp3 orbital. Thus, option (c) is correct.

Exercise

37

In the Lassaigne’s test for nitrogen in an organic compound, the Prussian blue colour is obtained due to the formation of:

(a) Na4[Fe(CN)6] 

(b) Fe4[Fe(CN)6]3 

(c) Fe2[Fe(CN)6] 

(d) Fe3[Fe(CN)6]4


Answer

In the Lassaigne’s test for nitrogen in an organic compound, the sodium fusion extract is boiled with iron (II) sulphate and then acidified with sulphuric acid. In the process, sodium cyanide first reacts with iron (II) sulphate and forms sodium hexacyanoferrate (II). Then, on heating with sulphuric acid, some iron (II) gets oxidised to form iron (III) hexacyanoferrate (II), which is Prussian blue in colour. Hence, the Prussian blue colour is due to the formation of Fe4[Fe(CN)6]3.
Exercise

38

Which of the following carbocation is most stable?

Answer

Exercise

39

The best and latest technique for isolation, purification and separation of organic compounds is:

(a) Crystallisation 

(b) Distillation 

(c) Sublimation 

(d) Chromatography


Answer

Chromatography is the most useful and the latest technique of separation and purification of organic compounds. It was first used to separate a mixture of coloured substances.
Exercise

40

Answer

This is an example of nucleophilic substitution reaction since the nucleophile I– is replaced by the nucleophile OH– ion. Thus, option (b) is correct.
Exercise