Moving Charges and Magnetism

NCERT Solutions for Moving Charges and Magnetism Class 12 Physics

Book Solutions

1

A circular coil of wire consisting of 100 turns, each of radius 8.0 cm carries a current of 0.40 A. What is the magnitude of the magnetic field B at the centre of the coil?

Answer

Number of turns on the circular coil, n = 100

Radius of each turn, r = 8.0 cm = 0.08 m

Current flowing in the coil, I = 0.4 A

Magnitude of the magnetic field at the centre of the coil is given by the relation,

Hence, the magnitude of the magnetic field is 3.14 × 10–4 T.

2

A long straight wire carries a current of 35 A. What is the magnitude of the field B at a point 20 cm from the wire?

Answer

Current in the wire, I = 35 A

Distance of a point from the wire, r = 20 cm = 0.2 m

Magnitude of the magnetic field at this point is given as:


Hence, the magnitude of the magnetic field at a point 20 cm from the wire is 3.5 × 10–5 T.

3

A long straight wire in the horizontal plane carries a current of 50 A in north to south direction. Give the magnitude and direction of B at a point 2.5 m east of the wire.


Answer

Current in the wire, I = 50 A

A point is 2.5 m away from the East of the wire.

Magnitude of the distance of the point from the wire, r = 2.5 m.

The point is located normal to the wire length at a distance of 2.5 m. The direction of the current in the wire is vertically downward. Hence, according to the Maxwell’s right hand thumb rule, the direction of the magnetic field at the given point is vertically upward. 

4

A horizontal overhead power line carries a current of 90 A in east to west direction. What is the magnitude and direction of the magnetic field due to the current 1.5 m below the line?

Answer

Current in the power line, I = 90 A

Point is located below the power line at distance, r = 1.5 m

Hence, magnetic field at that point is given by the relation,

The current is flowing from East to West. The point is below the power line. Hence, according to Maxwell’s right hand thumb rule, the direction of the magnetic field is towards the South.

5

What is the magnitude of magnetic force per unit length on a wire carrying a current of 8 A and making an angle of 30º with the direction of a uniform magnetic field of 0.15 T?

Answer

Current in the wire, I = 8 A

Magnitude of the uniform magnetic field, B = 0.15 T

Angle between the wire and magnetic field, θ = 30°.

Magnetic force per unit length on the wire is given as:

f = BI sinθ

= 0.15 × 8 ×1 × sin30°

= 0.6 N m–1

Hence, the magnetic force per unit length on the wire is 0.6 N m–1.

6

A 3.0 cm wire carrying a current of 10 A is placed inside a solenoid perpendicular to its axis. The magnetic field inside the solenoid is given to be 0.27 T. What is the magnetic force on the wire?

Answer

Length of the wire, l = 3 cm = 0.03 m

Current flowing in the wire, I = 10 A

Magnetic field, B = 0.27 T

Angle between the current and magnetic field, θ = 90°

Magnetic force exerted on the wire is given as:

F = BIlsinθ

= 0.27 × 10 × 0.03 sin90°

= 8.1 × 10–2 N

Hence, the magnetic force on the wire is 8.1 × 10–2 N. The direction of the force can be obtained from Fleming’s left hand rule.

7

Two long and parallel straight wires A and B carrying currents of 8.0 A and 5.0 A in the same direction are separated by a distance of 4.0 cm. Estimate the force on a 10 cm section of wire A.

Answer

Current flowing in wire A, IA = 8.0 A

Current flowing in wire B, IB = 5.0 A

Distance between the two wires, r = 4.0 cm = 0.04 m

Length of a section of wire A, l = 10 cm = 0.1 m

Force exerted on length l due to the magnetic field is given as:

The magnitude of force is 2 × 10–5 N. This is an attractive force normal to A towards B because the direction of the currents in the wires is the same.


8

A closely wound solenoid 80 cm long has 5 layers of windings of 400 turns each. The diameter of the solenoid is 1.8 cm. If the current carried is 8.0 A, estimate the magnitude of B inside the solenoid near its centre.

Answer

Length of the solenoid, l = 80 cm = 0.8 m

There are five layers of windings of 400 turns each on the solenoid.

Total number of turns on the solenoid, N = 5 × 400 = 2000

Diameter of the solenoid, D = 1.8 cm = 0.018 m

Current carried by the solenoid, I = 8.0 A

Magnitude of the magnetic field inside the solenoid near its centre is given by the relation,

Hence, the magnitude of the magnetic field inside the solenoid near its centre is 2.512 × 10–2 T.


9

A square coil of side 10 cm consists of 20 turns and carries a current of 12 A. The coil is suspended vertically and the normal to the plane of the coil makes an angle of 30º with the direction of a uniform horizontal magnetic field of magnitude 0.80 T. What is the magnitude of torque experienced by the coil?

Answer

Length of a side of the square coil, l = 10 cm = 0.1 m

Current flowing in the coil, I = 12 A

Number of turns on the coil, n = 20

Angle made by the plane of the coil with magnetic field, θ = 30°

Strength of magnetic field, B = 0.80 T

Magnitude of the magnetic torque experienced by the coil in the magnetic field is given by the relation,

τ = n BIA sinθ

Where, 

A = Area of the square coil

l × l = 0.1 × 0.1 = 0.01 m2

∴ τ = 20 × 0.8 × 12 × 0.01 × sin30°

= 0.96 N m. Hence, the magnitude of the torque experienced by the coil is 0.96 N m.

10

Two moving coil meters, M1 and M2 have the following particulars:

R1 = 10 Ω, N1 = 30,

A1 = 3.6 × 10–3 m2, B1 = 0.25 T

R2 = 14 Ω, N2 = 42,

A2 = 1.8 × 10–3 m2, B2 = 0.50 T

(The spring constants are identical for the two meters).

Determine the ratio of (a) current sensitivity and (b) voltage sensitivity of M2 and M1.

Answer



11

In a chamber, a uniform magnetic field of 6.5 G (1 G = 10–4 T) is maintained. An electron is shot into the field with a speed of 4.8 × 106 m s–1 normal to the field. Explain why the path of the electron is a circle. Determine the radius of the circular orbit. (e = 1.6 × 10–19 C, me= 9.1×10–31 kg)

Answer

Magnetic field strength, B = 6.5 G = 6.5 × 10–4 T

Speed of the electron, v = 4.8 × 106 m/s

Charge on the electron, e = 1.6 × 10–19 C

Mass of the electron, me = 9.1 × 10–31 kg

Angle between the shot electron and magnetic field, θ = 90°

Magnetic force exerted on the electron in the magnetic field is given as:

F = evB sinθ

This force provides centripetal force to the moving electron. Hence, the electron starts moving in a circular path of radius r.

Hence, centripetal force exerted on the electron,

In equilibrium, the centripetal force exerted on the electron is equal to the magnetic force i.e.

Hence, the radius of the circular orbit of the electron is 4.2 cm.


12

In Exercise 4.11 obtain the frequency of revolution of the electron in its circular orbit. Does the answer depend on the speed of the electron? Explain.


Answer

Magnetic field strength, B = 6.5 × 10−4 T

Charge of the electron, e = 1.6 × 10−19 C

Mass of the electron, me = 9.1 × 10−31 kg

Velocity of the electron, v = 4.8 × 106 m/s

Radius of the orbit, r = 4.2 cm = 0.042 m

Frequency of revolution of the electron = ν

Angular frequency of the electron = ω = 2πν

Velocity of the electron is related to the angular frequency as:

v = rω

In the circular orbit, the magnetic force on the electron is balanced by the centripetal force. Hence, we can write:

This expression for frequency is independent of the speed of the electron.

On substituting the known values in this expression, we get the frequency as:

Hence, the frequency of the electron is around 18 MHz and is independent of the speed of the electron.


13

(a) A circular coil of 30 turns and radius 8.0 cm carrying a current of 6.0 A is suspended vertically in a uniform horizontal magnetic field of magnitude 1.0 T. The field lines make an angle of 60º with the normal of the coil. Calculate the magnitude of the counter torque that must be applied to prevent the coil from turning.

(b) Would your answer change, if the circular coil in (a) were replaced by a planar coil of some irregular shape that encloses the same area? (All other particulars are also unaltered.)

Answer

(a) Number of turns on the circular coil, n = 30

Radius of the coil, r = 8.0 cm = 0.08 m

Area of the coil = πr2 = π (0.08)2 = 0.0201m2

Current flowing in the coil, I = 6.0 A

Magnetic field strength, B = 1 T

Angle between the field lines and normal with the coil surface,

θ = 60°

The coil experiences a torque in the magnetic field. Hence, it turns. The counter torque applied to prevent the coil from turning is given by the relation,

τ = n IBA sinθ … (i)

= 30 × 6 × 1 × 0.0201 × sin60o

= 3.133 N m

(b) It can be inferred from relation (i) that the magnitude of the applied torque is not dependent on the shape of the coil. It depends on the area of the coil. Hence, the answer would not change if the circular coil in the above case is replaced by a planar coil of some irregular shape that encloses the same area.

14

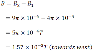
Two concentric circular coils X and Y of radii 16 cm and 10 cm, respectively, lie in the same vertical plane containing the north to south direction. Coil X has 20 turns and carries a current of 16 A; coil Y has 25 turns and carries a current of 18 A. The sense of the current in X is anticlockwise, and clockwise in Y, for an observer looking at the coils facing west. Give the magnitude and direction of the net magnetic field due to the coils at their centre.

Answer

Radius of coil X, r1 = 16 cm = 0.16 m

Radius of coil Y, r2 = 10 cm = 0.1 m

Number of turns of on coil X, n1 = 20

Number of turns of on coil Y, n2 = 25

Current in coil X, I1 = 16 A

Current in coil Y, I2 = 18 A

Hence, net magnetic field can be obtained as:


15

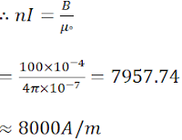
A magnetic field of 100 G (1 G = 10−4 T) is required which is uniform in a region of linear dimension about 10 cm and area of cross-section about 10−3 m2. The maximum current-carrying capacity of a given coil of wire is 15 A and the number of turns per unit length that can be wound round a core is at most 1000 turns m−1. Suggest some appropriate design particulars of a solenoid for the required purpose. Assume the core is not ferromagnetic.

Answer

Magnetic field strength, B = 100 G = 100 × 10−4 T

Number of turns per unit length, n = 1000 turns m−1

Current flowing in the coil, I = 15 A

Permeability of free space, μo= 4π × 10-7TmA-1

Magnetic field is given by the relation,

B = μonI


If the length of the coil is taken as 50 cm, radius 4 cm, number of turns 400, and current 10 A, then these values are not unique for the given purpose. There is always a possibility of some adjustments with limits. 


16

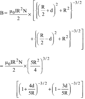
For a circular coil of radius R and N turns carrying current I, the magnitude of the magnetic field at a point on its axis at a distance x from its centre is given by,

(a) Show that this reduces to the familiar result for field at the centre of the coil.

(b) Consider two parallel co-axial circular coils of equal radius R, and number of turns N, carrying equal currents in the same direction, and separated by a distance R. Show that the field on the axis around the mid-point between the coils is uniform over a distance that is small as compared to R, and is given by,

[Such an arrangement to produce a nearly uniform magnetic field over a small region is known as Helmholtz coils.]

Answer





17

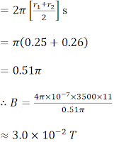
A toroid has a core (non-ferromagnetic) of inner radius 25 cm and outer radius 26 cm, around which 3500 turns of a wire are wound. If the current in the wire is 11 A, what is the magnetic field (a) outside the toroid, (b) inside the core of the toroid, and (c) in the empty space surrounded by the toroid.

Answer

Inner radius of the toroid, r1 = 25 cm = 0.25 m

Outer radius of the toroid, r2 = 26 cm = 0.26 m

Number of turns on the coil, N = 3500

Current in the coil, I = 11 A

(a) Magnetic field outside a toroid is zero. It is non-zero only inside the core of a toroid.

(b) Magnetic field inside the core of a toroid is given by the relation,

Where, μo= Permeability of free space = 4π × 10-7TmA-1

l = length of toroid

(c) Magnetic field in the empty space surrounded by the toroid is zero.

18

Answer the following questions:

(a) A magnetic field that varies in magnitude from point to point but has a constant direction (east to west) is set up in a chamber. A charged particle enters the chamber and travels undeflected along a straight path with constant speed. What can you say about the initial velocity of the particle?

(b) A charged particle enters an environment of a strong and non-uniform magnetic field varying from point to point both in magnitude and direction, and comes out of it following a complicated trajectory. Would its final speed equal the initial speed if it suffered no collisions with the environment?

(c) An electron travelling west to east enters a chamber having a uniform electrostatic field in north to south direction. Specify the direction in which a uniform magnetic field should be set up to prevent the electron from deflecting from its straight line path.

Answer

(a) The initial velocity of the particle is either parallel or anti-parallel to the magnetic field. Hence, it travels along a straight path without suffering any deflection in the field.

(b) Yes, the final speed of the charged particle will be equal to its initial speed. This is because magnetic force can change the direction of velocity, but not its magnitude.

(c) An electron travelling from West to East enters a chamber having a uniform electrostatic field in the North-South direction. This moving electron can remain undeflected if the electric force acting on it is equal and opposite of magnetic field. Magnetic force is directed towards the South. According to Fleming’s left hand rule, magnetic field should be applied in a vertically downward direction.

19

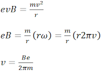
An electron emitted by a heated cathode and accelerated through a potential difference of 2.0 kV, enters a region with uniform magnetic field of 0.15 T. Determine the trajectory of the electron if the field (a) is transverse to its initial velocity, (b) makes an angle of 30º with the initial velocity.

Answer

Magnetic field strength, B = 0.15 T

Charge on the electron, e = 1.6 × 10−19 C

Mass of the electron, m = 9.1 × 10−31 kg

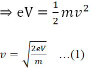
Potential difference, V = 2.0 kV = 2 × 103 V

Thus, kinetic energy of the electron = eV

Where, v = velocity of the electron

(a) Magnetic force on the electron provides the required centripetal force of the electron. Hence, the electron traces a circular path of radius r.

Magnetic force on the electron is given by the relation,

B ev

= 100.55 × 10-5

=1 mm

Hence, the electron has a circular trajectory of radius 1.0 mm normal to the magnetic field.

(b) When the field makes an angle θ of 30° with initial velocity, the initial velocity will be,

v1 = vsinθ

From equation (2), we can write the expression for new radius as:

= 0.5 × 10-3m

=0.5 mm

Hence, the electron has a helical trajectory of radius 0.5 mm along the magnetic field direction.

20

A magnetic field set up using Helmholtz coils (described in Exercise 4.16) is uniform in a small region and has a magnitude of 0.75 T. In the same region, a uniform electrostatic field is maintained in a direction normal to the common axis of the coils. A narrow beam of (single species) charged particles all accelerated through 15 kV enters this region in a direction perpendicular to both the axis of the coils and the electrostatic field. If the beam remains undeflected when the electrostatic field is 9.0 × 105 V m−1, make a simple guess as to what the beam contains. Why is the answer not unique?

Answer

Magnetic field, B = 0.75 T

Accelerating voltage, V = 15 kV = 15 × 103 V

Electrostatic field, E = 9 × 105 V m−1

Mass of the electron = m

Charge of the electron = e

Velocity of the electron = v

Kinetic energy of the electron = eV

Since the particle remains undeflected by electric and magnetic fields, we can infer that the force on the charged particle due to electric field is balancing the force on the charged particle due to magnetic field.­

eE = evB

This value of specific charge e/m is equal to the value of deuteron or deuterium ions. This is not a unique answer. Other possible answers are He++, Li++, etc.


21

A straight horizontal conducting rod of length 0.45 m and mass 60 g is suspended by two vertical wires at its ends. A current of 5.0 A is set up in the rod through the wires.

(a) What magnetic field should be set up normal to the conductor in order that the tension in the wires is zero?

(b) What will be the total tension in the wires if the direction of current is reversed keeping the magnetic field same as before? (Ignore the mass of the wires.) g = 9.8 m s−2.

Answer

Length of the rod, l = 0.45 m

Mass suspended by the wires, m = 60 g = 60 × 10−3 kg

Acceleration due to gravity, g = 9.8 m/s2

Current in the rod flowing through the wire, I = 5 A

(a) Magnetic field (B) is equal and opposite to the weight of the wire i.e.,

BIl = mg

A horizontal magnetic field of 0.26 T normal to the length of the conductor should be set up in order to get zero tension in the wire. The magnetic field should be such that Fleming’s left hand rule gives an upward magnetic force.

(b) If the direction of the current is revered, then the force due to magnetic field and the weight of the wire acts in a vertically downward direction.

∴Total tension in the wire = BIl + mg

= 0.26 × 5 × 0.45 + (60 × 10-3) × 9.8

 = 1.176 N

22

The wires which connect the battery of an automobile to its starting motor carry a current of 300 A (for a short time). What is the force per unit length between the wires if they are 70 cm long and 1.5 cm apart? Is the force attractive or repulsive?


Answer

Current in both wires, I = 300 A

Distance between the wires, r = 1.5 cm = 0.015 m

Length of the two wires, l = 70 cm = 0.7 m

Force between the two wires is given by the relation,

Where, μo= Permeability of free space = 4π × 10-7TmA-1

= 1.2 N/m

Since the direction of the current in the wires is opposite, a repulsive force exists between them.

23

A uniform magnetic field of 1.5 T exists in a cylindrical region of radius10.0 cm, its direction parallel to the axis along east to west. A wire carrying current of 7.0 A in the north to south direction passes through this region. What is the magnitude and direction of the force on the wire if,

(a) the wire intersects the axis,

(b) the wire is turned from N-S to northeast-northwest direction,

(c) the wire in the N-S direction is lowered from the axis by a distance of 6.0 cm?


Answer

Magnetic field strength, B = 1.5 T

Radius of the cylindrical region, r = 10 cm = 0.1 m

Current in the wire passing through the cylindrical region, I = 7 A

(a) If the wire intersects the axis, then the length of the wire is the diameter of the cylindrical region.

Thus, l = 2r = 0.2 m

Angle between magnetic field and current, θ = 90°

Magnetic force acting on the wire is given by the relation,

F = BIl sin θ

= 1.5 × 7 × 0.2 × sin 90°

= 2.1 N

Hence, a force of 2.1 N acts on the wire in a vertically downward direction.

(b) New length of the wire after turning it to the Northeast-Northwest direction can be given as:

Angle between magnetic field and current, θ = 45°

Force on the wire,

F = BIl1 sin θ

= BIl = 1.5 × 7 × 0.2

= 2.1N

Hence, a force of 2.1 N acts vertically downward on the wire. This is independent of angleθ because l sinθ is fixed.

(c) The wire is lowered from the axis by distance, d = 6.0 cm

Suppose wire is passing perpendicularly to the axis of cylindrical magnetic field then lowering 6 cm means displacing the wire 6 cm from its initial position towards to end of cross sectional area. 

x = √(10)2 – (6)2

   = 8 cm

Thus the length of wire in magnetic field will be 16 cm as AB= L =2x =16 cm

Now the force,

F = iLB sin90°  as the wire will be perpendicular to the magnetic field.

F= 7 × 0.16 × 1.5 =1.68 N

The direction will be given by right hand curl rule or screw rule i.e. vertically downwards.

24

A uniform magnetic field of 3000 G is established along the positive z-direction. A rectangular loop of sides 10 cm and 5 cm carries a current of 12 A. What is the torque on the loop in the different cases shown in Fig. 4.28? What is the force on each case? Which case corresponds to stable equilibrium?

Answer

Magnetic field strength, B = 3000 G = 3000 × 10−4 T = 0.3 T

Length of the rectangular loop, l = 10 cm

Width of the rectangular loop, b = 5 cm

Area of the loop,

A = l × b = 10 × 5 = 50 cm2 = 50 × 10−4 m2

Current in the loop, I = 12 A

Now, taking the anti-clockwise direction of the current as positive and vise-versa:

The torque is 1.8 × 10-2 N m along the negative y-direction. The force on the loop is zero because the angle between A and B is zero.

(b) This case is similar to case (a). Hence, the answer is the same as (a).

The torque is 1.8 × 10-2 N m along the negative x direction and the force is zero.

Torque is 1.8 × 10-2 N m at an angle of 240° with positive x direction. The force is zero.

Hence, the torque is zero. The force is also zero.

Hence, the torque is zero. The force is also zero.

In case (e), the direction of is the same and the angle between them is zero. If displaced, they come back to an equilibrium. Hence, its equilibrium is stable.

Whereas, in case (f), the direction of is opposite. The angle between them is 180°. If disturbed, it does not come back to its original position. Hence, its equilibrium is unstable.

25

A circular coil of 20 turns and radius 10 cm is placed in a uniform magnetic field of 0.10 T normal to the plane of the coil. If the current in the coil is 5.0 A, what is the

(a) total torque on the coil,

(b) total force on the coil,

(c) average force on each electron in the coil due to the magnetic field?

(The coil is made of copper wire of cross-sectional area 10−5 m2, and the free electron density in copper is given to be about 1029 m−3.)

Answer

Number of turns on the circular coil, n = 20

Radius of the coil, r = 10 cm = 0.1 m

Magnetic field strength, B = 0.10 T

Current in the coil, I = 5.0 A

(a) The total torque on the coil is zero because the field is uniform.

(b) The total force on the coil is zero because the field is uniform.

(c) Cross-sectional area of copper coil, A = 10−5 m2

Number of free electrons per cubic meter in copper, N = 1029 /m3

Charge on the electron, e = 1.6 × 10−19 C

Magnetic force, F = Bevd

Where,

vd = Drift velocity of electrons

Hence, the average force on each electron is 5 × 10-25N.

26

A solenoid 60 cm long and of radius 4.0 cm has 3 layers of windings of 300 turns each. A 2.0 cm long wire of mass 2.5 g lies inside the solenoid (near its centre) normal to its axis; both the wire and the axis of the solenoid are in the horizontal plane. The wire is connected through two leads parallel to the axis of the solenoid to an external battery which supplies a current of 6.0 A in the wire. What value of current (with appropriate sense of circulation) in the windings of the solenoid can support the weight of the wire? g = 9.8 m s−2

Answer

Length of the solenoid, L = 60 cm = 0.6 m

Radius of the solenoid, r = 4.0 cm = 0.04 m

It is given that there are 3 layers of windings of 300 turns each.

Total number of turns, n = 3 × 300 = 900

Length of the wire, l = 2 cm = 0.02 m

Mass of the wire, m = 2.5 g = 2.5 × 10−3 kg

Current flowing through the wire, i = 6 A

Acceleration due to gravity, g = 9.8 m/s2

Magnetic field produced inside the solenoid,

Where, μo= Permeability of free space = 4π × 10-7TmA-1

I = Current flowing through the windings of the solenoid

Magnetic force is given by the relation,

F= Bil

Also, the force on the wire is equal to the weight of the wire.

= 108 A

Hence, the current flowing through the solenoid is 108 A.


27

A galvanometer coil has a resistance of 12 Ω and the metre shows full scale deflection for a current of 3 mA. How will you convert the metre into a voltmeter of range 0 to 18 V?

Answer

Resistance of the galvanometer coil, G = 12 Ω 

Current for which there is full scale deflection, Ig = 3 mA = 3 × 10−3 A

Range of the voltmeter is 0, which needs to be converted to 18 V.

V = 18 V

Let a resistor of resistance R be connected in series with the galvanometer to convert it into a voltmeter. This resistance is given as:

= 6000 – 12 

= 5988 Ω

Hence, a resistor of resistance 5988 Ω is to be connected in series with the galvanometer.


28

A galvanometer coil has a resistance of 15 Ω and the metre shows full scale deflection for a current of 4 mA. How will you convert the metre into an ammeter of range 0 to 6 A?


Answer

Resistance of the galvanometer coil, G = 15 Ω

Current for which the galvanometer shows full scale deflection,

Ig = 4 mA = 4 × 10−3 A

Range of the ammeter is 0, which needs to be converted to 6 A.

Current, I = 6 A

A shunt resistor of resistance S is to be connected in parallel with the galvanometer to convert it into an ammeter. The value of S is given as:

Hence, a 10mΩ shunt resistor is to be connected in parallel with the galvanometer.