Electric Charges and Fields

NCERT Solutions for Electric Charges and Fields Class 12 Physics

Book Solutions

1

What is the force between two small charged spheres having charges of 2 × 10−7 C and 3 × 10−7 C placed 30 cm apart in air?

Answer

Repulsive force of magnitude 6 × 10−3 N

Charge on the first sphere, q1 = 2 × 10−7 C

Charge on the second sphere, q2 = 3 × 10−7 C

Distance between the spheres, r = 30 cm = 0.3 m

Electrostatic force between the spheres is given by the relation,

Hence, force between the two small charged spheres is 6 × 10−3 N. The charges are of same nature. Hence, force between them will be repulsive.

2

The electrostatic force on a small sphere of charge 0.4 μC due to another small sphere of charge − 0.8 μC in air is 0.2 N. (a) What is the distance between the two spheres? (b) What is the force on the second sphere due to the first?

Answer


(b) 
Both the spheres attract each other with the same force. Therefore, the force on the second sphere due to the first is 0.2 N

3

Check that the ratio ke2/G memp is dimensionless. Look up a Table of Physical Constants and determine the value of this ratio. What does the ratio signify?

Answer

e = 1.6 × 10−19 C

G = 6.67 × 10−11 N m2 kg-2

me= 9.1 × 10−31 kg

mp = 1.66 × 10−27 kg

Hence, the numerical value of the given ratio is


The ratio signify that the Electrostatic force is much larger than gravitational force. 

4

(a) Explain the meaning of the statement ‘electric charge of a body is quantised’.
(b) Why can one ignore quantisation of electric charge when dealing with macroscopic i.e., large scale charges?

Answer

(i) Electric charge of a body is quantized means charge on a body can only exist in the form of integral multiple of any particular charge that is charge of electron. This because charge is acquired or lost by transfer or gain of electrons only.

(ii) Considering large scale or macroscopic charges, the charge which are used over there are comparatively too large to the magnitude of the electric charge. Hence, on a macroscopic level the quantization of charge is of no use Therefore, it is ignored and the electric charge is considered to be continuous.

5

Whenever we rub a glass rod with a silk cloth, then a charge appears on both. We can observe this similar phenomenon on a lot of other pair of materials. Explain this phenomenon. How can we relate this observation with the law of conservation of charge?

Answer

When two bodies are rub together then, charges are developed on both of the bodies and the charge developed over the bodies are equal but opposite in nature. And this phenomenon of getting a charge is called as charge by friction. The net charge on both of the bodies. When we rubbed the glass rod with the silk cloth, there will be charge with opposite magnitude is generated over there. This phenomenon is in consistence with the law of conservation of charge. A similar phenomenon is observed with many other pairs of bodies.

6

Four point charges qA = 2 μC, qB = −5 μC, qC = 2 μC, and qD = −5 μC are located at the corners of a square ABCD of side 10 cm. What is the force on a charge of 1 μC placed at the centre of the square?

Answer

The given figure shows a square of side 10 cm with four charges placed at its corners. O is the centre of the square.


Where,

(Sides) AB = BC = CD = AD = 10 cm

(Diagonals) AC = BD =10√2 cm

AO = OC = DO = OB = 5√2 cm = 5√2 cm

A charge of amount 1μC is placed at point O.

Force of repulsion between charges placed at corner A and centre O is equal in magnitude but opposite in direction relative to the force of repulsion between the charges placed at corner C and centre O. Hence, they will cancel each other. Similarly, force of attraction between charges placed at corner B and centre O is equal in magnitude but opposite in direction relative to the force of attraction between the charges placed at corner D and centre O. Hence, they will also cancel each other. Therefore, net force caused by the four charges placed at the corner of the square on 1 μC charge at centre O is zero.

7

(a) An electrostatic field line is a continuous curve. That is, a field line cannot have sudden breaks. Why not?

(b) Explain why two field lines never cross each other at any point?

Answer

(a) An electrostatic field line is a continuous curve because a charge experiences a continuous force when traced in an electrostatic field. The field line cannot have sudden breaks because the charge moves continuously and does not jump from one point to the other.

(b) If two field lines cross each other at a point, then electric field intensity will show two directions at that point. This is not possible. Hence, two field lines never cross each other.

8

We have two point charges on is qA=3μC and other is qA=–3μC and the distances between these two charges are 20 cm and these are placed inside a vacuum.

(i) Let us consider O as the mid – point of the line. Then, measure the electric field at the point O of the line AB joining the two charges.

(ii) If we will place a negative charge having a magnitude of 1.5×10-9 at this point, then calculate the force experienced by the test charge?

Answer



9

A system has two charges qA = 2.5 × 10−7 C and qB = −2.5 × 10−7 C located at points A: (0, 0, − 15 cm) and B: (0, 0, + 15 cm), respectively. What are the total charge and electric dipole moment of the system?

Answer

The given system can be represented on coordinate plane as seen in the figure. 

At A, amount of charge, qA = 2.5 × 10−7C = 2.5 ×10 -7 C

At B, amount of charge, qB = −2.5 × 10−7 C = -2.5×10-7 C

Total charge of the system,

q=qA+qB

= 2.5 ×10 -7 C - 2.5 ×10 -7 C

= 0

Distance between two charges at points A and B,

d = 15 + 15 = 30 cm = 0.3 m

Electric dipole moment of the system is given by,

p = qA  × d = qB× d

= 2.5 × 10−7 × 0.3

= 7.5 × 10−8 C m along positive z-axis

Therefore, the electric dipole moment of the system is 7.5 × 10−8 C m along positive z−axis.

10

An electric dipole with dipole moment 4 × 10−9 C m is aligned at 30° with the direction of a uniform electric field of magnitude 5 × 104 N C−1. Calculate the magnitude of the torque acting on the dipole.

Answer


Therefore, the magnitude of the torque acting on the dipole is 10−4 N m.

11

A polythene piece rubbed with wool is found to have a negative charge of 3 × 10−7 C.

(a) Estimate the number of electrons transferred (from which to which?)

(b) Is there a transfer of mass from wool to polythene?

Answer

and polythene becomes negatively charged.

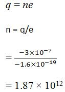
Amount of charge on the polythene piece, q = -3×10-7 C

Amount of charge on an electron, e  = -1.6×10-19 C

Number of electrons transferred from wool to polythene = n

n can be calculated using the relation,


Therefore, the number of electrons transferred from wool to polythene is 1.87 × 1012.

(b) Yes.

There is a transfer of mass taking place. This is because an electron has mass,

me = 9.1 × 10−3 kg

Total mass transferred to polythene from wool,

m = me × n

= 9.1 × 10−31 × 1.85 × 1012

= 1.706 × 10−18 kg

Hence, a negligible amount of mass is transferred from wool to polythene.

12

(a) Two insulated charged copper spheres A and B have their centers separated by a distance of 50 cm. What is the mutual force of electrostatic repulsion if the charge on each is 6.5 × 10−7 C? The radii of A and B are negligible compared to the distance of separation.

(b) What is the force of repulsion if each sphere is charged double the above amount, and the distance between them is halved?

Answer

13

Suppose the spheres A and B in Exercise 1.12 have identical sizes. A third sphere of the same size but uncharged is brought in contact with the first, then brought in contact with the second, and finally removed from both. What is the new force of repulsion between A and B?

Answer

14

Figure 1.33 shows tracks of three charged particles in a uniform electrostatic field. Give the signs of the three charges. Which particle has the highest charge to mass ratio?

Answer

Opposite charges attract each other and same charges repel each other. It can be observed that particles 1 and 2 both move towards the positively charged plate and repel away from the negatively charged plate. Hence, these two particles are negatively charged. It can also be observed that particle 3 moves towards the negatively charged plate and repels away from the positively charged plate. Hence, particle 3 is positively charged.

The charge to mass ratio (emf) is directly proportional to the displacement or amount of deflection for a given velocity. Since the deflection of particle 3 is the maximum, it has the highest charge to mass ratio.

15

Consider a uniform electric field E = 3 × 103 îN/C. (a) What is the flux of this field through a square of 10 cm on a side whose plane is parallel to the yz plane? (b) What is the flux through the same square if the normal to its plane makes a 60° angle with the x-axis?

Answer

16

What is the net flux of the uniform electric field of Exercise 1.15 through a cube of side 20 cm oriented so that its faces are parallel to the coordinate planes

Answer

All the faces of a cube are parallel to the coordinate axes. Therefore, the number of field lines entering the cube is equal to the number of field lines piercing out of the cube. As a result, net flux through the cube is zero.

17

Careful measurement of the electric field at the surface of a black box indicates that the net outward flux through the surface of the box is 8.0 × 103 N m2/C. (a) What is the net charge inside the box? (b) If the net outward flux through the surface of the box were zero, could you conclude that there were no charges inside the box? Why or Why not?

Answer


(b) No

Net flux piercing out through a body depends on the net charge contained in the body. If net flux is zero, then it can be inferred that net charge inside the body is zero. The body may have equal amount of positive and negative charges.

18

A point charge +10 μC is a distance 5 cm directly above the centre of a square of side 10 cm, as shown in Fig. 1.34. What is the magnitude of the electric flux through the square? (Hint: Think of the square as one face of a cube with edge 10 cm.)

Answer

19

A point charge of 2.0 μC is at the centre of a cubic Gaussian surface 9.0 cm on edge. What is the net electric flux through the surface?

Answer

20

A point charge causes an electric flux of −1.0 × 103 Nm2/C to pass through a spherical Gaussian surface of 10.0 cm radius centered on the charge. (a) If the radius of the Gaussian surface were doubled, how much flux would pass through the surface? (b) What is the value of the point charge?

Answer

(a) Electric flux, Φ = −1.0 × 103 N m2/C

Radius of the Gaussian surface,

r = 10.0 cm

Electric flux piercing out through a surface depends on the net charge enclosed inside a body. It does not depend on the size of the body. If the radius of the Gaussian surface is doubled, then the flux passing through the surface remains the same i.e., −103 N m2/C.


21

A conducting sphere of radius 10 cm has an unknown charge. If the electric field 20 cm from the centre of the sphere is 1.5 × 103 N/C and points radially inward, what is the net charge on the sphere?

Answer

Therefore, the net charge on the sphere is 6.67 nC.

22

A uniformly charged conducting sphere of 2.4 m diameter has a surface charge density of 80.0 μC/m2. (a) Find the charge on the sphere. (b) What is the total electric flux leaving the surface of the sphere?

Answer



23

An infinite line charge produces a field of 9 × 104 N/C at a distance of 2 cm. Calculate the linear charge density.

Answer

Electric field produced by the infinite line charges at a distance d having linear charge density λ is given by the relation.


Therefore, the linear charge density is 10 μC/m.

24

Two large, thin metal plates are parallel and close to each other. On their inner faces, the plates have surface charge densities of opposite signs and of magnitude 17.0 × 10−22 C/m2. What is E: (a) in the outer region of the first plate, (b) in the outer region of the second plate, and (c) between the plates?

Answer