NCERT Solutions for Chapter 4 द्विघात समीकरण Class 10 Maths
Book Solutions1
जाँच कीजिए कि क्या निम्न द्विघात समीकरण है?
Answer
Exercise 4.1
2
निम्न स्थितियों को द्विघात समीकरणों के रूप में निरूपित कीजिए।
(i) एक आयताकार भूखंड का क्षेत्रफल 528 मी. है। क्षेत्र की लंबाई (मी में) चौड़ाई के दोगुने से एक अधिक है। हमें भूखंड की लंबाई और चौड़ाई ज्ञात
करनी है।
(ii) दो क्रमागत धनात्मक पूर्णाकों का गुणनफल 306 है। हमें पूर्णाकों को ज्ञात करना है।
(iii) रोहन की माँ उससे 26; वर्ष बड़ी है। इनकी आयु (वर्षो में) का गुणनफल अब से तीन वर्ष पश्चात् 360 हो जाएगी। हमें रोहन की वर्तमान आयु ज्ञात करनी है।
(iv) एक रेलगाड़ी 480 किमी की दूरी समान चाल से तय करती है। यदि इसकी चाल 8 किमी/घंटा कम होती, तो वह उसी दूरी को तय करने में 3 घंटे अधिक लेती। हमें रेलगाड़ी की चाल ज्ञात करनी है।
Answer
Exercise 4.1
1
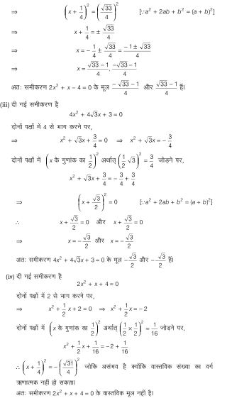
गुणनखंड विधि से निम्न द्विघात समीकरणों के मूल ज्ञात कीजिए।
Answer
Exercise 4.2
2
निम्नलिखित द्विघात समीकरणों को हल कीजिए।
Answer
Exercise 4.2
3
ऐसी दो संख्याएँ ज्ञात कीजिए, जिनका योग 27 हो और गुणनफल 182 हो।
Answer
Exercise 4.2
4
दो क्रमागत धनात्मक पूर्णांक ज्ञात कीजिए जिनके वर्गों का योग 365 हो।
Answer
Exercise 4.2
5
एक समकोण त्रिभुज की ऊँचाई इसके आधार से 7 सेमी कम है। यदि कर्ण 13 सेमी का हो, तो अन्य दो भुजाएँ ज्ञात कीजिए।
Answer
Exercise 4.2
6
एक कुटीर उद्योग एक दिन में कुछ बर्तनों का निर्माण करता है। एक विशेष दिन यह देखा गया कि प्रत्येक नग का निर्माण लागत (रुपए में) उस दिन के निर्माण किए बर्तनों की संख्या के दोगुने से 3 अधिक थी। यदि उस दिन की कुल निर्माण लागत 90 रुपए थी, तो निर्मित बर्तनों की संख्या और प्रत्येक नग की लागत ज्ञात कीजिए।
Answer
Exercise 4.2
1
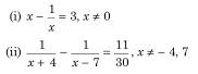
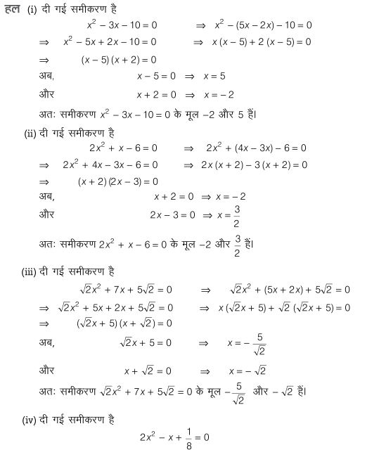
यदि निम्नलिखित द्विघात समीकरणों के मूलों का अस्तित्व हो, तो इन्हें पूर्ण वर्ग बनाने की विधि द्वारा ज्ञात कीजिए।
Answer
Exercise 4.3
2
प्रश्न संख्या 1 में दी गई द्विघातीय समीकरणों के मूल द्विघातीय सूत्र का प्रयोग करके ज्ञात कीजिए।
Answer
Exercise 4.3
3
निम्नलिखित समीकरणों के मूल ज्ञात कीजिए।
Answer
Exercise 4.3
4
3 वर्ष पूर्व रहमान की आयु (वर्षों में) का व्युत्क्रम और अब से 5 वर्ष पश्चात् आयु के व्युत्क्रम का योग
है। उसकी वर्तमान आयु ज्ञात कीजिए।
Answer
Exercise 4.3
5
एक क्लास टेस्ट में शेफाली के गणित और अंग्रेजी में प्राप्त किए गए अंकों का योग 30 हैं। यदि उसको गणित में 2 अंक अधिक और अंग्रेजी में 3 अंक कम मिले होते, तो उनके अंकों का गुणनफल 210 होता। उसके द्वारा दोनों विषयों में प्राप्त किए अंक ज्ञात कीजिए।
Answer
हल: माना शेफाली के गणित में अंक = x तब, उसके अंग्रेजी में अंक (30 - x) होंगे क्योंकि दिया है कि शेफाली के गणित और अंग्रेजी में अंकों का योग 30 है। प्रश्नानुसार,
(गणित में अंक + 2)x(अंग्रेजी में अंक - 3) =210
Exercise 4.3
6
एक आयताकार मैदान का विकर्ण उसकी छोटी भुजा से 60 मी अधिक लंबा है। यदि बड़ी भुजा छोटी भुजा से 30 मी अधिक हो, तो मैदान की भुजाएँ ज्ञात कीजिए।
Answer
Exercise 4.3
7
दो संख्याओं के वर्गों का अंतर 180° है। छोटी संख्या का वर्ग बड़ी संख्या का 8 गुना है। दोनों संख्याएँ ज्ञात कीजिए।
Answer
Exercise 4.3
8
एक रेलगाड़ी एकसमान चाल से 360 किमी की दूरी तय करती है। यदि यह चाल 5 किमी/घंटा अधिक होगी, तो वह उसी यात्रा में 1 घंटा कम समय लेगी। रेलगाड़ी की चाल ज्ञात कीजिए।
Answer
Exercise 4.3
9
दो पानी के नल एकसाथ एक होज को
घंटों में भर सकते हैं। बड़े व्यास वाला नल हौज के भरने में, कम व्यास वाले नल से 10 घंटे का समय लेता है। प्रत्येक नल द्वारा अलग से हौज को भरने का समय ज्ञात कीजिए।
Answer
Exercise 4.3
10
मैसूर और बंगलूरु के बीच के 132 किमी यात्रा करने में एक एक्सप्रेस रेलगाड़ी सवारी गाड़ी से 1 घंटा समय कम लेती है (मध्य के स्टेशनों पर ठहरने का समय ध्यान में न लिया जाए)। यदि एक्सप्रेस रेलगाड़ी और औसत चाल, सवारी गाड़ी की औसत चाल से 11 किमी/घंटा अधिक हो, तो दोनों रेलगाड़ियों की औसत चाल ज्ञात कीजिए।
Answer
Exercise 4.3
11
दो वर्गों के क्षेत्रफलों का योग 468 वर्ग मी है यदि उनके परिमापों का अंतर 24 मी हो, तो दोनों वर्गों की भुजाएँ ज्ञात कीजिए।
Answer
Exercise 4.3
1
निम्न द्विघात समीकरणों के मूलों की प्रकृति ज्ञात कीजिए। यदि मूलों का अस्तित्व हो, तो उन्हें ज्ञात कीजिए।
Answer
Exercise 4.4
2
निम्न प्रत्येक द्विघात समीकरण में है का ऐसा मान ज्ञात कीजिए कि उसके दो बराबर मूल हों।
Answer
Exercise 4.4
3
क्या एक ऐसी आम की बगिया बनाना संभव है। जिसकी लंबाई, चौड़ाई से दोगुनी हो और उसका क्षेत्रफल 800 वर्ग मी हो? यदि है, तो उसकी लंबाई और चौड़ाई ज्ञात कीजिए।
Answer
Exercise 4.4
4
क्या निम्न स्थिति संभव है? यदि है, तो उनकी वर्तमान आयु ज्ञात कीजिए। दो मित्रों की आयु का योग 20 वर्ष है। 4 वर्ष पहले उनकी आयु का गुणनफल 48 था।
Answer
Exercise 4.4
5
क्या परिमाप 80 मी तथा क्षेत्रफल 400 वर्ग मी के एक पार्क को बनाना संभव है? यदि हाँ तो उसकी लंबाई और चौड़ाई ज्ञात कीजिए।
Answer
Exercise 4.4