Chemical Kinetics

Chemical Kinetics

Book Solutions

1

From the rate expression for the following reactions, determine their order of reaction and the dimensions of the rate constants.

(i) 3 NO(g) → N2O (g) Rate = k[NO]2

(ii) H2O(aq) + 3 I− (aq) + 2 H+ → 2 H2O (l) + I3Rate = k[H2O2][I]

(iii) CH3CHO(g) → CH4(g) + CO(g) Rate = [CH3CHO]3/2

(iv) C2H5Cl(g) → C2H4(g) + HCl(g) Rate = [C2H5Cl]

Answer

Exercise

2

For the reaction: 2A + B → A2B The rate = k[A][B]2 with k = 2.0 × 10−6 mol−2 L2 s−1. Calculate the initial rate of the reaction when [A] = 0.1 mol L−1, [B] = 0.2 mol L−1. Calculate the rate of reaction after [A] is reduced to 0.06 mol L−1.

Answer

Exercise

3

The decomposition of NH3 on platinum surface is zero order reaction. What are the rates of production of N2 and H2 if = 2.5 × 10−4 mol−1 L s−1?

Answer

The decomposition of NH3 on platinum surface is represented by the following equation.

2NH3 (g)  N2 (g) + 3H2 (g)


Exercise

4

The decomposition of dimethyl ether leads to the formation of CH4, H2 and CO and the reaction rate is given by Rate = [CH3OCH3]3/2

The rate of reaction is followed by increase in pressure in a closed vessel, so the rate can also be expressed in terms of the partial pressure of dimethyl ether, i.e. Rate=k (PCH3OCH3)3/2.

If the pressure is measured in bar andtime in minutes, then what are the units of rate and rate constants?

Answer

Exercise

5

List the reason which affects the chemical reaction’s rate.

Answer

The factors which are responsible for the effect in chemical reaction’s rate are:

(a) Temperature

(b) Presence of a catalyst

(c) Concentration of reactants (pressure in case of gases)

Exercise

6

A reaction is second order with respect to a reactant. How is the rate of reaction affected if the concentration of the reactant is (a) doubled (b) reduced to half?


Answer

Let the concentration of the reactant be [A] = a

Rate of reaction, R=k[A]2=ka2

(a) If the concentration of the reactant is doubled, i.e [A] = 2a, then the rate if the reaction would be

R=k(A)2=4ka2=4R

Therefore, the rate of the reaction now will be 4 times the original rate.

(b) If the concentration of the reactant is reduced to half, i.e [A]=12a, then the rate of the reaction would be

R=k(12a)2=14ka=14R

Therefore, the rate of the reaction will be reduced to 14th

Exercise

7

What change would happen in the rate constant of a reaction when there is a change in its temperature? How can this temperature effect on rate constant be represented quantitatively?

Answer

When a temperature of 10 rises for a chemical reaction then the rate constant increases and becomes near to double of its original value.

The temperature effect on the rate constant can be represented quantitatively by Arrhenius equation,

k=AeEa/RT

Where,

k = rate constant,

A = Frequency factor / Arrhenius factor,

R = gas constant

T = temperature

Ea = activation energy for the reaction.
Exercise

8

What change would happen in the rate constant of a reaction when there is a change in its temperature? How can this temperature effect on rate constant be represented quantitatively?

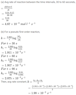
t/s

0

30

60

90

[Ester] mol / L

0.55

0.31

0.17

0.085

(b) Calculate the pseudo first order rate constant for the hydrolysis of ester.(a) Find the avg rate of the reaction between the time intervals of 30 to 60 seconds.

Answer

Exercise

9

A reaction is first order in A and second order in B.

(a) What is the equation of differential rate?

(b) What would be the change in rate if the concentration of B is increased 3 times?

(c) When the concentration for both A and B is doubled then what would be the change in the rate?

Answer

Exercise

10

In a reaction between A and B, the initial rate of reaction (r0) was measured for different initial concentrations of A and B as given below:

A/molL−1

0.20

0.20

0.40

B/molL−1

0.30

0.10

0.05

r0/molL−1s−1

5.07×10−5

5.07×10−5

1.43×10−4

What is the order of the reaction with respect to A and B?

Answer

Let the order of the reaction with respect to A be x and with respect to B be y.


Exercise

11

The following results have been obtained during the kinetic studies of the reaction: 

2A + B  C + D

Exp.

A mol L−1

B mol L−1

Initial rate of formation of D mol L−1 min−1

1

0.1

0.1

6.0×10−3

2

0.3

0.2

7.2×10−2

3

0.3

0.4

2.88×10−1

4

0.4

0.1

2.4×10−2

Determine the rate law and the rate constant for the reaction.

Answer



Exercise

12

The reaction between A and B is first order with respect to A and zero order with respect to B. Fill in the blanks in the following table:

Exp.

A mol L−1

B mol L−1

Initial rate mol L−1 min−1

1

0.1

0.1

2.0×10−2

2

0.2

4.0×10−2

3

0.4

0.4

4

0.2

2.0×10−2

Answer

Exercise

13

Calculate the half-life of a first order reaction from their rate constants given below:

(a) 200s1

(b) 2min1

(c) 4years1

Answer

Exercise

14

The half-life for radioactive decay of 14C is 5730 years. An archaeological artefact containing wood had only 80% of the 14C found in a living tree. Estimate the age of the sample.


Answer

Exercise

15

The experimental data for decomposition of N2O5 

[2N2O5  4NO2 +O2]In gas phase at 318K are given below:

T(s)

0

400

800

1200

1600

2000

2400

2800

3200

102 × [N2O5molL−1

1.63

1.36

1.14

0.93

0.78

0.64

0.53

0.43

0.35


(i) Plot [N2O5] against t.

(ii) Find the half-life period for the reaction.

(iii) Draw a graph between log [N2O5] and t.

(iv) What is the rate law?

(v) Calculate the rate constant.

(vi) Calculate the half-life period from and compare it with (ii).

Answer





Exercise

16

The rate constant for a first order reaction is 60 s−1. How much time will it take to reduce the initial concentration of the reactant to its 1/16th value?

Answer

Exercise

17

During nuclear explosion, one of the products is 90Sr with half-life of 28.1 years. If 1μg of 90Sr was absorbed in the bones of a newly born baby instead of calcium, how much of it will remain after 10 years and 60 years if it is not lost metabolically.


Answer


Exercise

18

For a first order reaction, show that time required for 99% completion is twice the time required for the completion of 90% of reaction.


Answer

Exercise

19

A first order reaction takes 40 min for 30% decomposition. Calculate t1/2.


Answer

Exercise

20

For the decomposition of azoisopropane to hexane and nitrogen at 543 K, the following data are obtained. Calculate the rate constant.

T(sec)

P(mm of Hg)

0

35.0

360

54.0

720

63.0

Answer


Exercise

21

The following data were obtained during the first order thermal decomposition of SO2CL2 at a constant volume. SO2CL(g→ SO2 (g) + Cl2 (g)

Experiment

Time/s

Total pressure / atm

1

0

0.5

2

100

0.6

Calculate the rate of the reaction when total pressure is 0.65 atm.


Answer



Exercise

22

The rate constant for the decomposition of N2O5 at various temperatures is given below:

T/C

 

0

 

20

 

40

 

60

 

80

10× k/s−1

 

0.0787

 

1.70

 

25.7

 

178

 

2140

Draw a graph between Ink and 1/T and calculate the values of A and Ea. Predict the rate constant at 300C and 500C.

Answer

From the given data, we obtain

T/0C

 

0

 

20

 

40

 

60

 

80

 

T/K

 

273

 

293

 

313

 

333

 

353

1/T/K−1

3.66×10−3

3.41×10−3

3.19×10−3

3.0×10−3

2.83×10−3

105 ×k/s−1

 

0.0787

 

1.70

 

25.7

 

178

 

2140

 

In K

 

-7.147

 

-4.075

 

-1.359

 

-0.577

 

3.063




Exercise

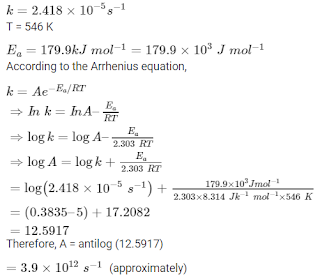
23

The rate constant for the decomposition of hydrocarbons is 2.418 × 10−5 s−1 at 546 K. If the energy of activation is 179.9 kJ/mol, what will be the value of pre exponential factor.

Answer

Exercise

24

Consider a certain reaction A → Products with = 2.0 × 10−2 s−1. Calculate the concentration of remaining after 100 s if the initial concentration of is 1.0 mol L−1.

Answer

Exercise

25

Sucrose decomposes in acid solution into glucose and fructose according to the first order rate law, with t1/2 = 3.00 hours. What fraction of sample of sucrose remains after 8 hours?

Answer

Exercise

26

The decomposition of hydrocarbon follows the equation

= (4.5 × 1011 s−1) e−28000 K/T Calculate Ea.

Answer

The given equation is = (4.5 × 1011 s−1) e−28000 K/T

k
Exercise

27

The rate constant for the first order decomposition of H2O2 is given by the following equation:

log = 14.34 − 1.25 × 104 K/T. Calculate Ea for this reaction and at what temperature will its half-period be 256 minutes?

Answer


Exercise

28

The decomposition of A into product has value of as 4.5 × 103 s−1 at 10°C and energy of activation 60 kJ mol−1. At what temperature would be 1.5 × 104 s−1?

Answer

Exercise

29

The time required for 10% completion of a first order reaction at 298 K is equal to that required for its 25% completion at 308 K. If the value of is 4 × 1010 s−1. Calculate at 318 K and Ea.

Answer


Exercise

30

The rate of a reaction quadruples when the temperature changes from293 K to 313 K. Calculate the energy of activation of the reaction assumingthat it does not change with temperature.

Answer

Exercise