बहुपद

NCERT Solutions for Chapter 2 बहुपद Class 10 Maths

Book Solutions

1

किसी बहुपद p(x) के लिए, y= p(x) का ग्राफ नीचे चित्र (आकृति) में दिया है। प्रत्येक स्थिति में, p(x) के शून्यकों की संख्या ज्ञात कीजिए।

Answer

Exercise 2.1

1

निम्न द्विघात बहुपदों के शून्यक ज्ञात कीजिए और शून्यकों तथा गुणांकों के बीच संबंध की सत्यता की जाँच कीजिए।

Answer

  
  
Exercise 2.2

2

एक द्विघात बहुपद ज्ञात कीजिए, जिसके शून्यकों के योग तथा गुणनफल क्रमशः दी गई संख्याएँ हैं।

Answer



Exercise 2.2

1

विभाजन एल्गोरिथ्म प्रयोग करके, निम्न में p(x) को g(x) से भाग देने पर भागफल तथा शेषफल ज्ञात कीजिए।

Answer

       
Exercise 2.3

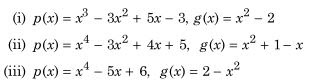
2

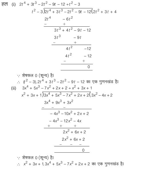
पहले बहुपद से दूसरे बहुपद को भाग करके, जाँच कीजिए कि क्या प्रथम बहुपद द्वितीय बहुपद का एक गुणनखंड हैं?

Answer

   
Exercise 2.3

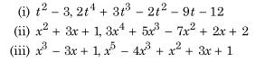
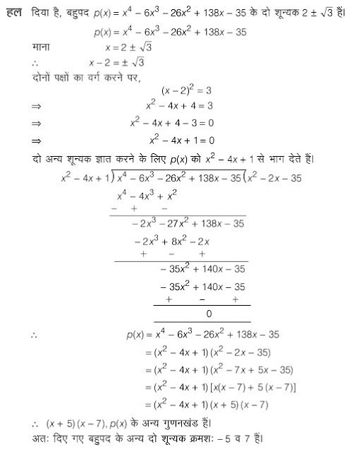
3

 के अन्य सभी शून्यक ज्ञात कीजिए। यदि इसके दो शून्यक हैं।

Answer

Exercise 2.3

4

यदि  को एक बहुपद g(x) से भाग देने पर, भागफल और शेषफल क्रमशः (x-2) और -2x +4 हैं, तो g(x) ज्ञात कीजिए।

Answer

Exercise 2.3

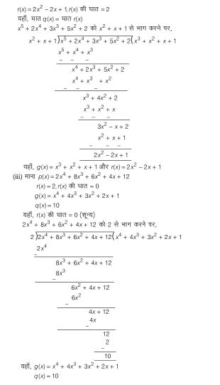
5

बहुपदों p(x), q(x) और r(x) के ऐसे उदाहरण दीजिए जो विभाजन एल्गोरिथ्म को संतुष्ट करते हों तथा
(i) घात p(x) = घात q(x) 
(ii) घात q(x) = घात r(x)  
(iii) घात r(x) = 0

Answer

   
Exercise 2.3

1

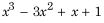
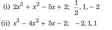
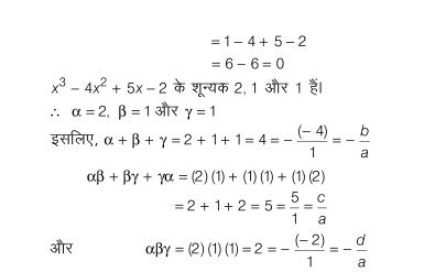
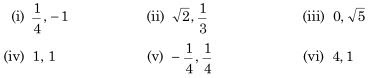
सत्यापित कीजिए कि निम्न त्रिघात बहुपदों के साथ दी गई संख्याएँ उसकी शून्यक हैं। प्रत्येक स्थिति में शून्यकों और गुणांकों के बीच के संबंध को भी सत्यापित कीजिए।

Answer

   

2

एक त्रिघात बहुपद ज्ञात कीजिए, जिसके शून्यकों का योग, दो शून्यकों को एकसाथ लेकर उनके गुणनफलों का योग तथा तीनों शून्यकों के गुणनफल क्रमशः 2, -7, -11 हों। 

Answer

Exercise 2.4

3

यदि बहुपद  के शून्यक (a-b), a, a + b हों, तो a और b ज्ञात कीजिए । 

Answer

Exercise 2.4

4

यदि बहुपद के दो शून्यक हो, तो अन्य शून्यक ज्ञात कीजिए। 

Answer

Exercise 2.4

5

यदि बहुपद  को एक अन्य बहुपद   से भाग दिया जाए और शेषफल (x+6) आता हो, तो k तथा a का मान ज्ञात कीजिए।

Answer

Exercise 2.4