Aldehydes, Ketones and Carboxylic Acids
Book Solutions1
What do you mean by the following terms? Give an example of the reaction.
(i) Cyanohydrin
 (ii) Acetal
(iii) Semicarbazone
 (iv) Aldol
(v) Hemiacetal
 (vi) Oxime
(vii) Ketal
 (viii) Imine
(ix) 2,4-DNP-derivative
 (x) Schiffâs base
Answer
2
Name the following compounds according to IUPAC system of nomenclature:
(i)Â CH3CH(CH3)CH2CH2CHO
(ii)Â CH3CH2COCH(C2H5)CH2CH2Cl
(iii)Â CH3CH=CHCHO
(iv)Â CH3COCH2COCH3
(v)Â CH3CH(CH3)CH2C(CH3)2COCH3
(vi)Â (CH3)3CCH2COOH
(vii)Â OHCC6H4CHO-p
Answer
(i) 4-methylpentanal
(ii) 6-Chloro-4-ethylhexan-3-one
(iii) But-2-en-1-al
(iv) Pentane-2, 4-dione
(v) 3, 3, 5-Trimethylhexan-2-one
(vi) 3,3-Dimethylbutanoic acid
(vii) Benzene-1,4-dicarbaldehyde
3
Draw the structures of the following compounds.
(i) 3-Methylbutanal
 (ii) p-Nitropropiophenone
(iii) p-Methylbenzaldehyde
(iv)4-Methylpent-3-en-2-one
(v) 4-Chloropentan-2-one
(vi) 3-Bromo-4-phenylpentanoic acid
(vii) p,pâ-Dihydroxybenzophenone
 (viii) Hex-2-en-4-ynoic acid
Answer
4
Write the IUPAC names of the following ketones and aldehydes. Wherever possible, give also common names.
(i) CH3CO(CH2)4CH3
(ii) CH3CH2CHBrCH2CH(CH3)CHO
(iii) CH3(CH2)5CHO
(iv)Ph-CH=CH-CHO
(vi)PhCOPh
Answer
(i) CH3CO(CH2)4CH3
IUPAC name: Heptan-2-one
Common name: Methyl n-propyl ketone
(ii) CH3CH2CHBrCH2CH(CH3)CHO
IUPAC name: 4-Bromo-2-methylhaxanal
Common name: (γ-Bromo-α-methyl-caproaldehyde)
(iii) CH3(CH2)5CHO
IUPAC name: Heptanal
(iv) Ph-CH=CH-CHO
IUPAC name: 3-phenylprop-2-enal
Common name: ÎČ-Pheynolacrolein
IUPAC name: Cyclopentanecarbaldehyde
(vi) PhCOPh
IUPAC name: Diphenylmethanone
Common name: Benzophenone
5
Draw structures of the following derivatives.
(i)Â The 2,4-dinitrophenylhydrazone of benzaldehyde
(ii)Â Cyclopropanone oxime
(iii)Â Acetaldehydedimethylacetal
(iv)Â The semicarbazone of cyclobutanone
(v)Â The ethylene ketal of hexan-3-one
(vi)Â The methyl hemiacetal of formaldehyde
Answer
6
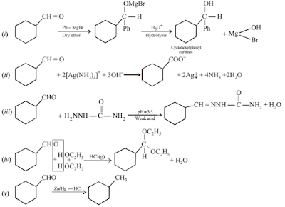
Predict the products formed when cyclohexanecarbaldehyde reacts with following reagents.
(i) PhMgBr and then H3O+
(ii)Tollensâ reagent
(iii) Semicarbazide and weak acid
(iv)Excess ethanol and acid
(v) Zinc amalgam and dilute hydrochloric acid
Answer
7
Which of the following compounds would undergo aldol condensation, which the Cannizzaro reaction and which neither? Write the structures of the expected products of aldol condensation and Cannizzaro reaction.
(i) Methanal
 (ii) 2-Methylpentanal
(iii) Benzaldehyde
 (iv) Benzophenone
(v) Cyclohexanone
(vi) 1-Phenylpropanone
(vii) Phenylacetaldehyde
(viii) Butan-1-ol
(ix) 2, 2-Dimethylbutanal
Answer
Aldehydes and ketones having at least one α-hydrogen undergo aldol condensation. The compounds (ii) 2âmethylpentanal, (v) cyclohexanone, (vi) 1-phenylpropanone, and (vii) phenylacetaldehyde contain one or more α-hydrogen atoms. Therefore, these undergo aldol condensation.
Aldehydes having no α-hydrogen atoms undergo Cannizzaro reactions. The compounds (i) Methanal, (iii) Benzaldehyde, and (ix) 2, 2-dimethylbutanal do not have any α-hydrogen. Therefore, these undergo cannizzaro reactions.
Compound (iv) Benzophenone is a ketone having no α-hydrogen atom and compound (viii) Butan-1-ol is an alcohol. Hence, these compounds do not undergo either aldol condensation or cannizzaro reactions.
Cannizzaro reaction
8
How will you convert ethanal into the following compounds?
(i) Butane-1, 3-diol (ii) But-2-enal (iii) But-2-enoic acid
Answer
9
Write structural formulas and names of four possible aldol condensation products from propanal and butanal. In each case, indicate which aldehyde acts as nucleophile and which as electrophile.
Answer
10
An organic compound with the molecular formula C9H10O forms 2, 4-DNP derivative, reduces Tollensâ reagent and undergoes Cannizzaro reaction. On vigorous oxidation, it gives 1, 2-benzenedicarboxylic acid. Identify the compound.
Answer
Since the given compound with molecular formula C9H10O forms a 2, 4-DNP derivative and reduces Tollenâs reagent, it must be an aldehyde. Since it undergoes Cannizzaro reaction, therefore, CHO group is directly attached to the benzene ring. Since on vigorous oxidation, it gives 1, 2-benzene dicarboxylic acid, therefore, it must be an ortho â substituted benzaldehyde. The only o-substituted aromatic aldehyde having molecular formula C9H10O is o-ethyl benzaldehyde. All the reactions can now be explained on the basis of this structure.
11
An organic compound (A) (molecular formula C8H16O2) was hydrolysed with dilute sulphuric acid to give a carboxylic acid (B) and an alcohol (C). Oxidation of (C) with chromic acid produced (B). (C) on dehydration gives but-1-ene.Write equations for the reactions involved.
Answer
An organic compound A with molecular formula C8H16O2Â gives a carboxylic acid (B) and an alcohol (C) on hydrolysis with dilute sulphuric acid. Thus, compound A must be an ester. Further, alcohol C gives acid B on oxidation with chromic acid. Thus, B and C must contain equal number of carbon atoms.
Since compound A contains a total of 8 carbon atoms, each of B and C contain 4 carbon atoms.
Again, on dehydration, alcohol C gives but-1-ene. Therefore, C is of straight chain and hence, it is butan-1-ol.
On oxidation, Butan-1-ol gives butanoic acid. Hence, acid B is butanoic acid.
Hence, the ester with molecular formula C8H16O2Â is butylbutanoate.
12
Arrange the following compounds in increasing order of their property as indicated:
(i) Acetaldehyde, Acetone, Di-tert-butyl ketone, Methyl tert-butyl ketone (reactivity towards HCN)
(ii)Â CH3CH2CH(Br)COOH, CH3CH(Br)CH2COOH, (CH3)2CHCOOH, CH3CH2CH2COOH (acid strength)
(iii)Â Benzoic acid, 4-Nitrobenzoic acid, 3,4-Dinitrobenzoic acid, 4-Methoxybenzoic acid (acid strength)
Answer

13
Give simple chemical tests to distinguish between the following pairs of compounds.
(i)Â Propanal and Propanone
(ii)Â Acetophenone and Benzophenone
(iii)Â Phenol and Benzoic acid
(iv)Â Benzoic acid and Ethyl benzoate
(v)Â Pentan-2-one and Pentan-3-one
(vi)Â Benzaldehyde and Acetophenone
(vii)Â Ethanal and Propanal
Answer
14
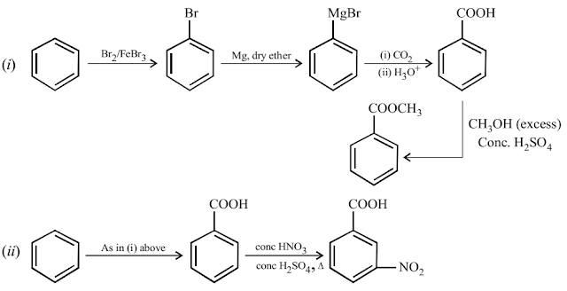
How will you prepare the following compounds from benzene? You may use any inorganic reagent and any organic reagent having not more than one carbon atom
(i)Â Methyl benzoate
(ii)Â m-Nitrobenzoic acid
(iii)Â p-Nitrobenzoic acid
(iv) Phenylacetic acid
(v)Â p-Nitrobenzaldehyde.
Answer
15
How will you bring about the following conversions in not more than two steps?
(i)Â Propanone to Propene
(ii)Â Benzoic acid to Benzaldehyde
(iii)Â Ethanol to 3-Hydroxybutanal
(iv) Benzene to m-Nitroacetophenone
(v)Â Benzaldehyde to Benzophenone
(vi)Â Bromobenzene to 1-Phenylethanol
(vii)Â Benzaldehyde to 3-Phenylpropan-1-ol
(viii) Benazaldehyde to α-Hydroxyphenylacetic acid
(ix) Benzoic acid to m- Nitrobenzyl alcohol
Answer
16
Describe the following:
(i)Â Acetylation
(ii)Â Cannizzaro reaction
(iii)Â Cross aldol condensation
(iv)Â Decarboxylation
Answer
17
Complete each synthesis by giving missing starting material, reagent or products:
Answer
18
Give plausible explanation for each of the following:
(i)Â Cyclohexanone forms cyanohydrin in good yield but 2, 2, 6 trimethylcyclohexanone does not.
(ii)Â There are two âNH2Â groups in semicarbazide. However, only one is involved in the formation of semicarbazones.
(iii)Â During the preparation of esters from a carboxylic acid and an alcohol in the presence of an acid catalyst, the water or the ester should be removed as soon as it is formed.
Answer
19
An organic compound contains 69.77% carbon, 11.63% hydrogen and rest oxygen. The molecular mass of the compound is 86. It does not reduce Tollensâ reagent but forms an addition compound with sodium hydrogen sulphite and give positive iodoform test. On vigorous oxidation it gives ethanoic and propanoic acid. Write the possible structure of the compound.
Answer
20
Although phenoxide ion has more number of resonating structures than carboxylate ion, carboxylic acid is a stronger acid than phenol. Why?
Answer